🇳🇴 🇬🇧 🇩🇪 🇨🇿 🇫🇮

Meteor, poloha: Skoghall 2022-02-10 21:18:28 UTC

Soubor KML  |  InteraktivnĂ­ mapa

Mapa zobrazuje dráhy meteoru. Světlejší čáry ukazují směry od pozorovacích stanic při objevení se meteoru a tmavší čáry, kde byl naposledy viděn. Modrá šipka značí viditelnou dráhu meteoru.

static map
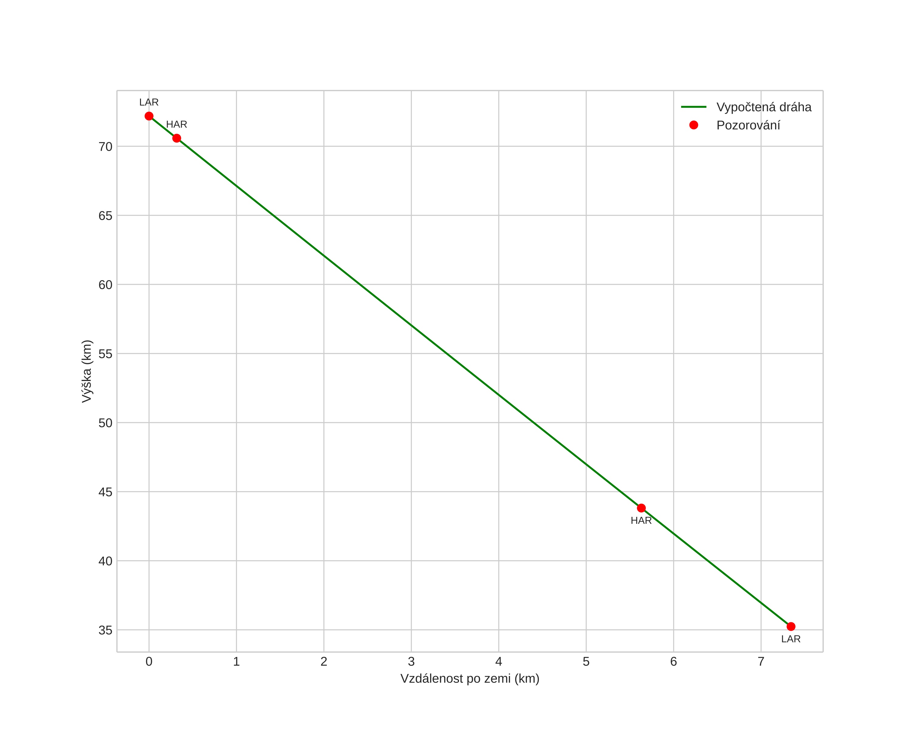
height profile
Atmosférická dráha meteoru:
Počáteční výška: 71,4 km
Konečná výška: 35,2 km
Počáteční poloha: 59,128N 13,297E
Konečná poloha: 59,117N 13,422E
Směr: 100,1°
Sklon: 78,6°
VstupnĂ­ rychlost: 15,4 km/s
Rektascenze radiantu: 05:41 (85,4°)
Deklinace radiantu: 58,3°
MeteorickĂ˝ roj: sporadickĂ˝
Elementy dráhy meteoroidu:
Vzdálenost v periheliu: 0,967 AU
Excentricita: 0,623
Sklon dráhy: 9,3°
Délka vzestupného uzlu: 321,8°
Argument perihelia: 198,7°
Střední anomálie: 356,6°
Epocha: 2022 FEB 10 21:18:28
orbit plot

NeinteraktivnĂ­ graf | InteraktivnĂ­ graf

position vs time
speed and acceleration