🇳🇴 🇬🇧 🇩🇪 🇨🇿 🇫🇮

Meteor Skoghallin yllä 2022-02-10 21:18:28 UTC

KML-tiedosto  |  Interaktiivinen kartta

Kartta näyttää meteorin suuntahavainnot. Vaaleammat viivat näyttävät suunnat havaintoasemilta meteorin ilmestyessä, ja tummemmat viivat näyttävät, missä se viimeksi nähtiin. Sininen nuoli näyttää meteorin näkyvän lennon.

static map
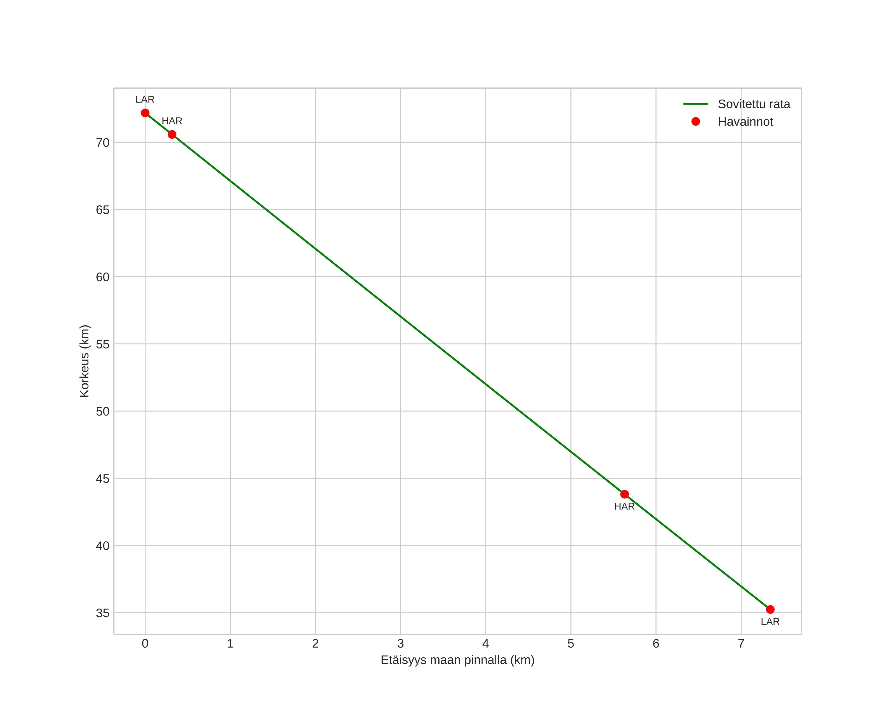
height profile
Meteorin ilmakehärata:
Alkukorkeus: 71,4 km
Loppukorkeus: 35,2 km
Alkupiste: 59,128N 13,297E
Loppupiste: 59,117N 13,422E
Suunta: 100,1°
Kallistuskulma: 78,6°
Tulonopeus: 15,4 km/s
Radiantin R,A,: 05:41 (85,4°)
Radiantin Dekl,: 58,3°
Meteoriparvi: Sporadinen
Meteoroidin rataelementit:
Perihelietäisyys: 0,967 AU
Eksentrisyys: 0,623
Inklinaatio: 9,3°
Nousevan solmun pituus: 321,8°
Perihelin argumentti: 198,7°
Keskianomalia: 356,6°
Epookki: 2022 FEB 10 21:18:28
orbit plot

Ei-interaktiivinen kuvaaja | Interaktiivinen kuvaaja

position vs time
speed and acceleration