🇳🇴 🇬🇧 🇩🇪 🇨🇿 🇫🇮

Meteor, poloha: Hovden 2022-02-11 05:31:44 UTC

Soubor KML  |  InteraktivnĂ­ mapa

Mapa zobrazuje dráhy meteoru. Světlejší čáry ukazují směry od pozorovacích stanic při objevení se meteoru a tmavší čáry, kde byl naposledy viděn. Modrá šipka značí viditelnou dráhu meteoru.

static map
height profile
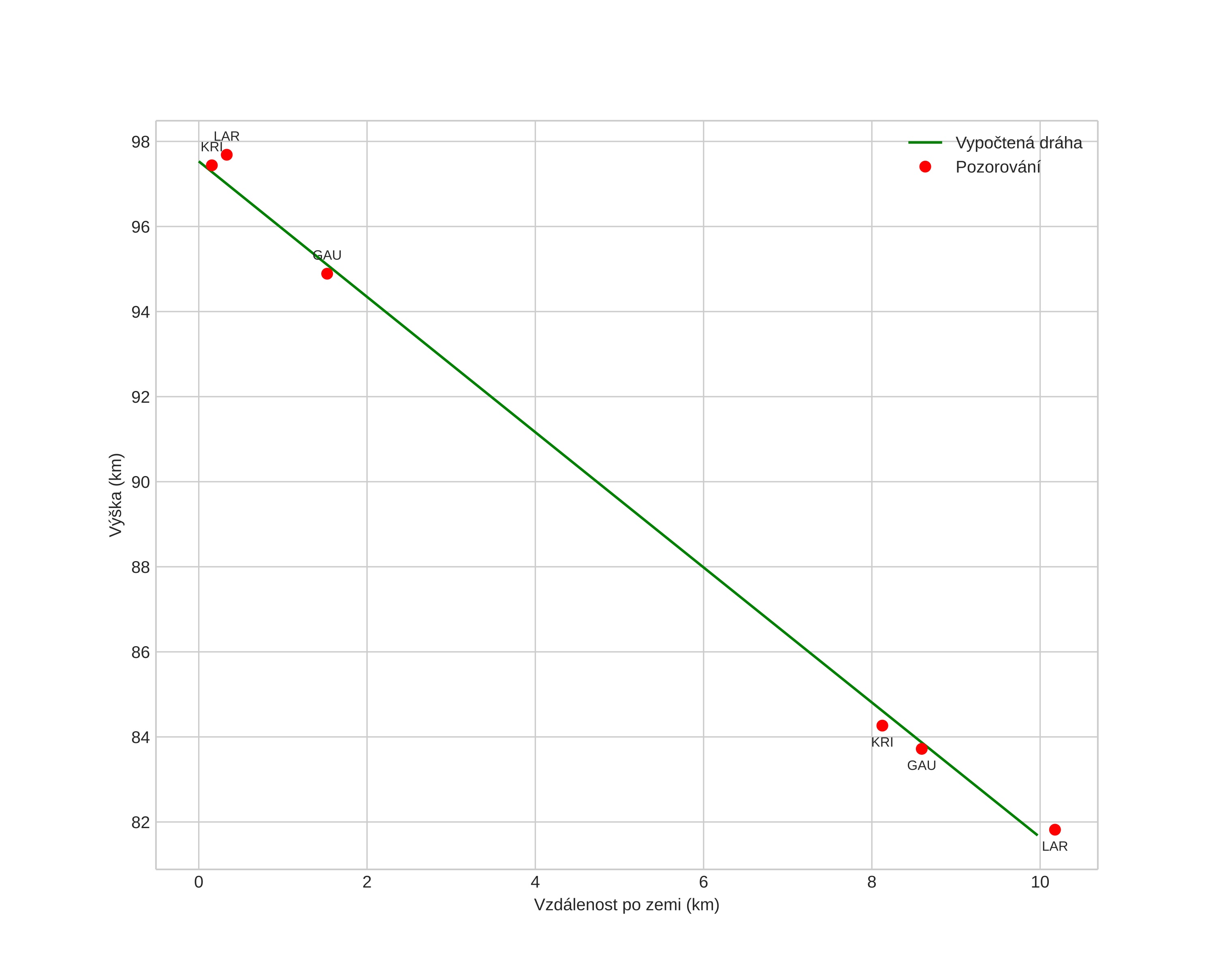
Atmosférická dráha meteoru:
Počáteční výška: 97,6 km
Konečná výška: 81,7 km
Počáteční poloha: 59,729N 7,367E
Konečná poloha: 59,658N 7,257E
Směr: 218,1°
Sklon: 57,9°
VstupnĂ­ rychlost: 19,3 km/s
Rektascenze radiantu: 21:13 (318,3°)
Deklinace radiantu: 69,6°
MeteorickĂ˝ roj: sporadickĂ˝
Elementy dráhy meteoroidu:
Vzdálenost v periheliu: 0,983 AU
Excentricita: 0,594
Sklon dráhy: 23,4°
Délka vzestupného uzlu: 322,2°
Argument perihelia: 171,9°
Střední anomálie: 1,7°
Epocha: 2022 FEB 11 05:31:44
orbit plot

NeinteraktivnĂ­ graf | InteraktivnĂ­ graf

position vs time
speed and acceleration