🇳🇴 🇬🇧 🇩🇪 🇨🇿 🇫🇮

Meteor Hovdenin yllä 2022-02-11 05:31:44 UTC

KML-tiedosto  |  Interaktiivinen kartta

Kartta näyttää meteorin suuntahavainnot. Vaaleammat viivat näyttävät suunnat havaintoasemilta meteorin ilmestyessä, ja tummemmat viivat näyttävät, missä se viimeksi nähtiin. Sininen nuoli näyttää meteorin näkyvän lennon.

static map
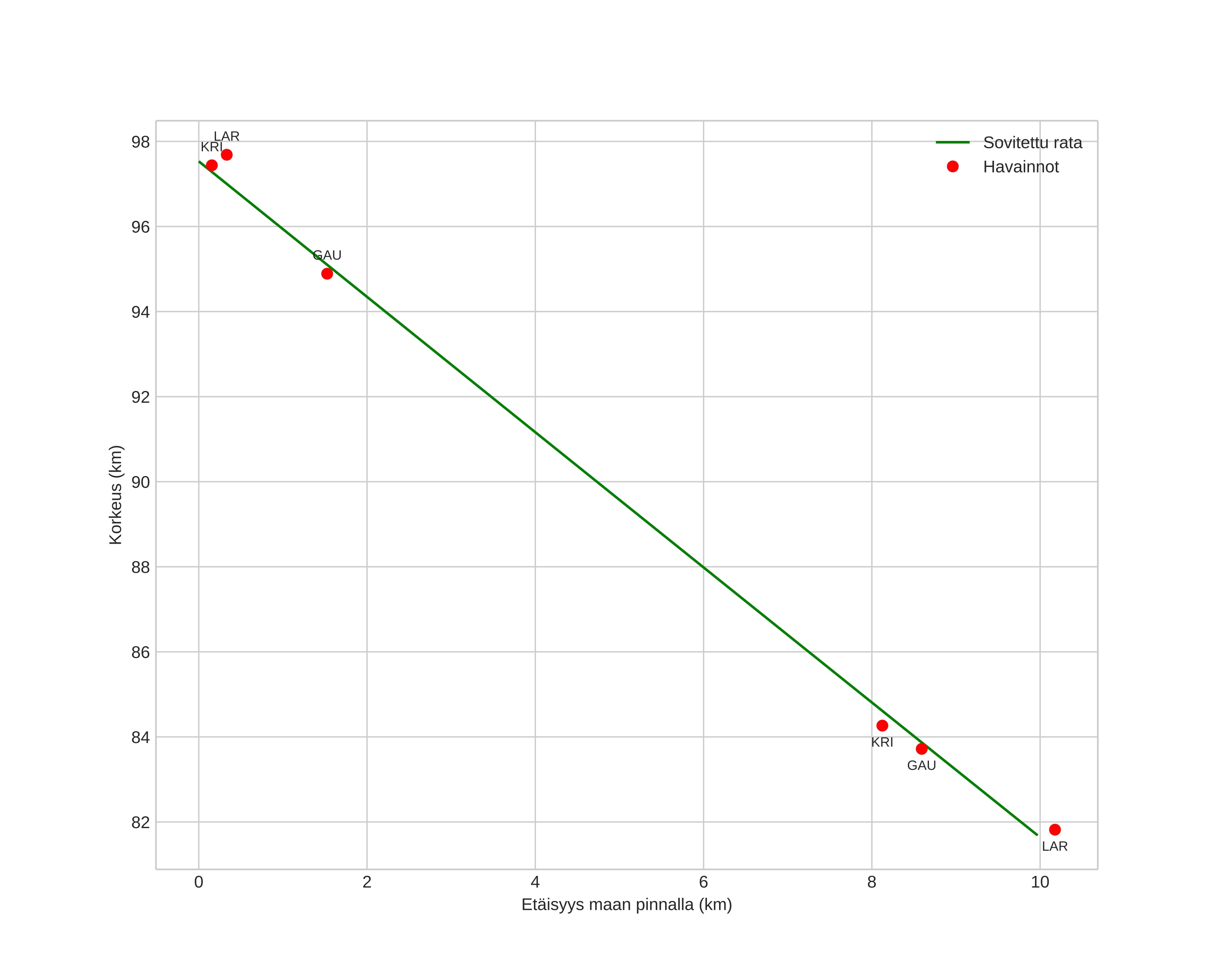
height profile
Meteorin ilmakehärata:
Alkukorkeus: 97,6 km
Loppukorkeus: 81,7 km
Alkupiste: 59,729N 7,367E
Loppupiste: 59,658N 7,257E
Suunta: 218,1°
Kallistuskulma: 57,9°
Tulonopeus: 19,3 km/s
Radiantin R,A,: 21:13 (318,3°)
Radiantin Dekl,: 69,6°
Meteoriparvi: Sporadinen
Meteoroidin rataelementit:
Perihelietäisyys: 0,983 AU
Eksentrisyys: 0,594
Inklinaatio: 23,4°
Nousevan solmun pituus: 322,2°
Perihelin argumentti: 171,9°
Keskianomalia: 1,7°
Epookki: 2022 FEB 11 05:31:44
orbit plot

Ei-interaktiivinen kuvaaja | Interaktiivinen kuvaaja

position vs time
speed and acceleration