🇳🇴 🇬🇧 🇩🇪 🇨🇿 🇫🇮

Meteor, poloha: Storsteinnes 2022-02-12 19:32:26 UTC

Soubor KML  |  InteraktivnĂ­ mapa

Mapa zobrazuje dráhy meteoru. Světlejší čáry ukazují směry od pozorovacích stanic při objevení se meteoru a tmavší čáry, kde byl naposledy viděn. Modrá šipka značí viditelnou dráhu meteoru.

static map
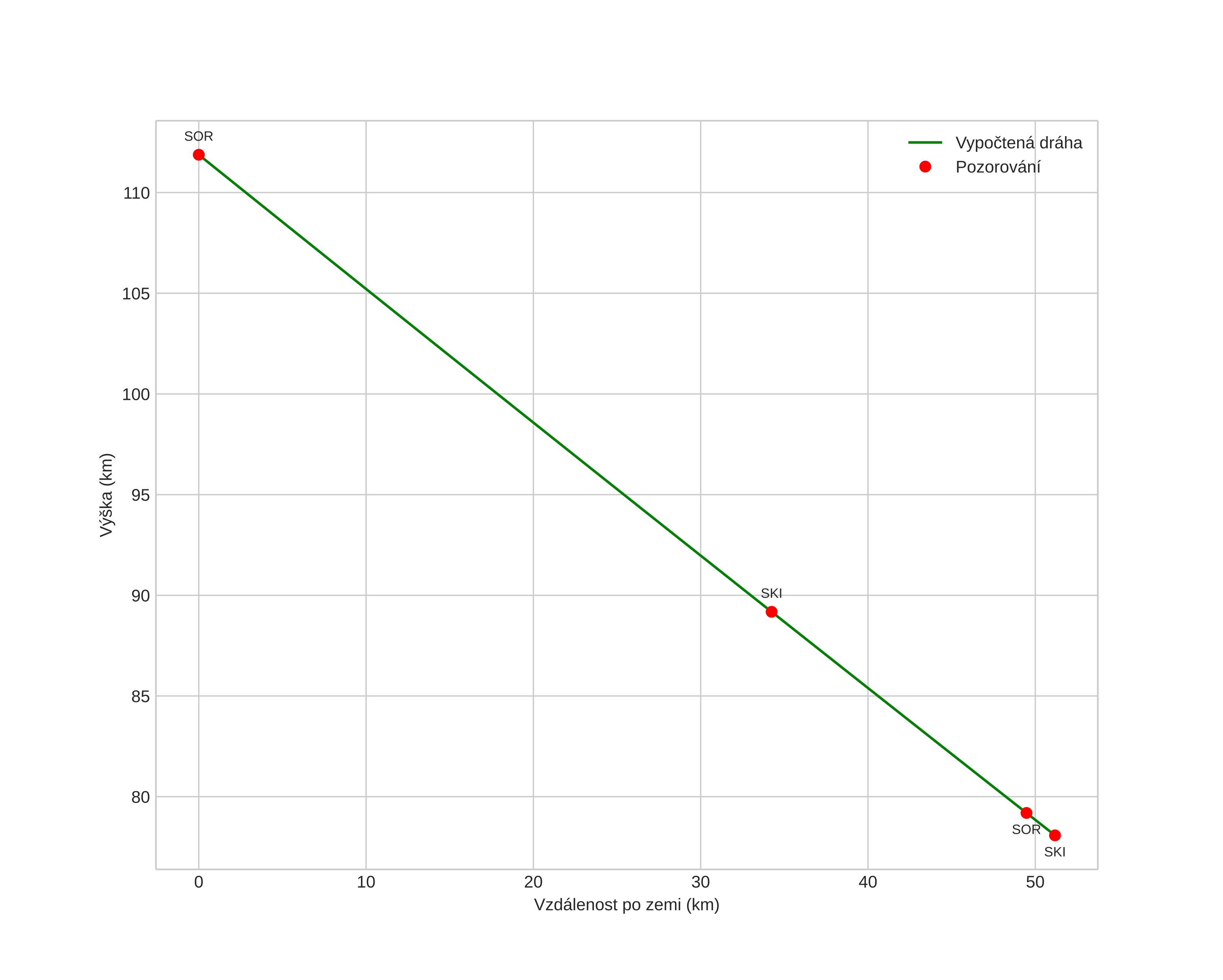
height profile
Atmosférická dráha meteoru:
Počáteční výška: 92,7 km
Konečná výška: 78,1 km
Počáteční poloha: 69,377N 18,900E
Konečná poloha: 69,239N 19,308E
Směr: 133,6°
Sklon: 33,3°
VstupnĂ­ rychlost: 22,3 km/s
Rektascenze radiantu: 22:12 (333,1°)
Deklinace radiantu: 41,4°
MeteorickĂ˝ roj: sporadickĂ˝
Elementy dráhy meteoroidu:
Vzdálenost v periheliu: 0,909 AU
Excentricita: 0,912
Sklon dráhy: 21,2°
Délka vzestupného uzlu: 323,8°
Argument perihelia: 146,5°
Střední anomálie: 0,7°
Epocha: 2022 FEB 12 19:32:26
orbit plot

NeinteraktivnĂ­ graf | InteraktivnĂ­ graf

position vs time
speed and acceleration