🇳🇴 🇬🇧 🇩🇪 🇨🇿 🇫🇮

Meteor Storsteinnesin yllä 2022-02-12 19:32:26 UTC

KML-tiedosto  |  Interaktiivinen kartta

Kartta näyttää meteorin suuntahavainnot. Vaaleammat viivat näyttävät suunnat havaintoasemilta meteorin ilmestyessä, ja tummemmat viivat näyttävät, missä se viimeksi nähtiin. Sininen nuoli näyttää meteorin näkyvän lennon.

static map
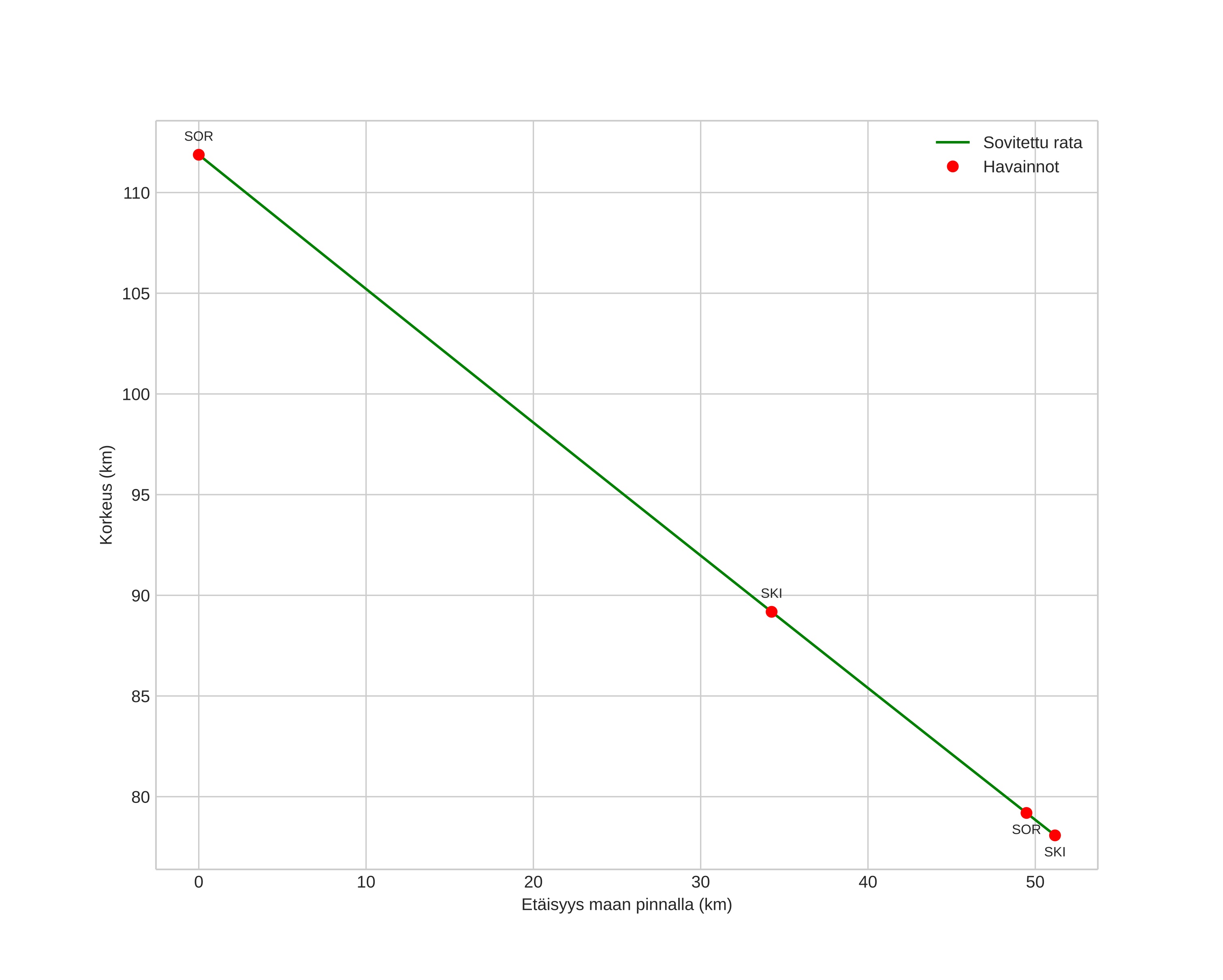
height profile
Meteorin ilmakehärata:
Alkukorkeus: 92,7 km
Loppukorkeus: 78,1 km
Alkupiste: 69,377N 18,900E
Loppupiste: 69,239N 19,308E
Suunta: 133,6°
Kallistuskulma: 33,3°
Tulonopeus: 22,3 km/s
Radiantin R,A,: 22:12 (333,1°)
Radiantin Dekl,: 41,4°
Meteoriparvi: Sporadinen
Meteoroidin rataelementit:
Perihelietäisyys: 0,909 AU
Eksentrisyys: 0,912
Inklinaatio: 21,2°
Nousevan solmun pituus: 323,8°
Perihelin argumentti: 146,5°
Keskianomalia: 0,7°
Epookki: 2022 FEB 12 19:32:26
orbit plot

Ei-interaktiivinen kuvaaja | Interaktiivinen kuvaaja

position vs time
speed and acceleration