🇳🇴 🇬🇧 🇩🇪 🇨🇿 🇫🇮

Meteor, poloha: Storsteinnes 2022-02-12 22:57:53 UTC

Soubor KML  |  InteraktivnĂ­ mapa

Mapa zobrazuje dráhy meteoru. Světlejší čáry ukazují směry od pozorovacích stanic při objevení se meteoru a tmavší čáry, kde byl naposledy viděn. Modrá šipka značí viditelnou dráhu meteoru.

static map
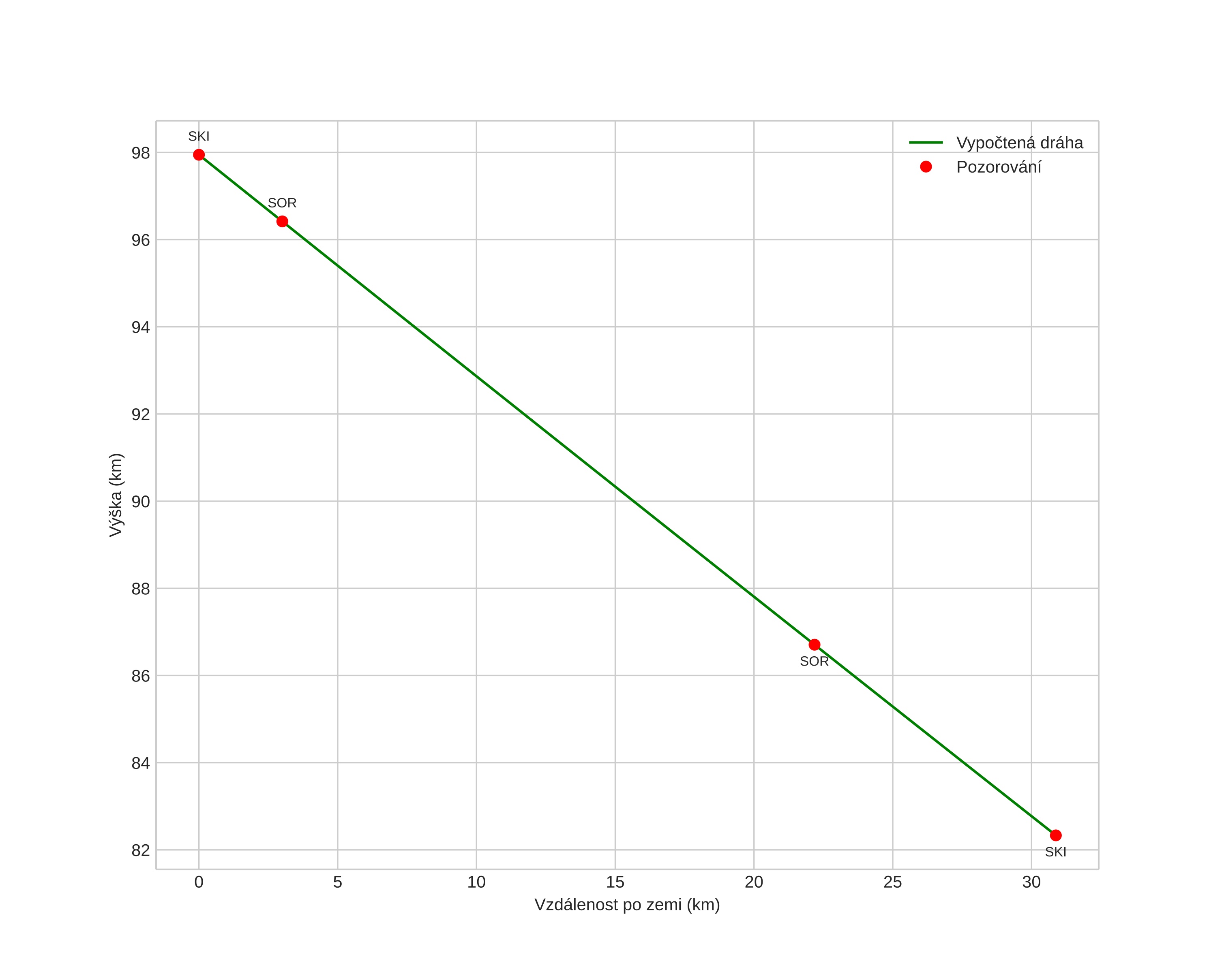
height profile
Atmosférická dráha meteoru:
Počáteční výška: 97,9 km
Konečná výška: 82,3 km
Počáteční poloha: 69,189N 19,616E
Konečná poloha: 69,432N 19,238E
Směr: 331,4°
Sklon: 26,8°
VstupnĂ­ rychlost: 46,4 km/s
Rektascenze radiantu: 11:28 (172,2°)
Deklinace radiantu: 7,3°
MeteorickĂ˝ roj: sporadickĂ˝
Elementy dráhy meteoroidu:
Vzdálenost v periheliu: 0,065 AU
Excentricita: 0,994
Sklon dráhy: 15,3°
Délka vzestupného uzlu: 323,9°
Argument perihelia: 331,0°
Střední anomálie: 359,2°
Epocha: 2022 FEB 12 22:57:53
orbit plot

NeinteraktivnĂ­ graf | InteraktivnĂ­ graf

position vs time
speed and acceleration