🇳🇴 🇬🇧 🇩🇪 🇨🇿 🇫🇮

Meteor Storsteinnesin yllä 2022-02-12 22:57:53 UTC

KML-tiedosto  |  Interaktiivinen kartta

Kartta näyttää meteorin suuntahavainnot. Vaaleammat viivat näyttävät suunnat havaintoasemilta meteorin ilmestyessä, ja tummemmat viivat näyttävät, missä se viimeksi nähtiin. Sininen nuoli näyttää meteorin näkyvän lennon.

static map
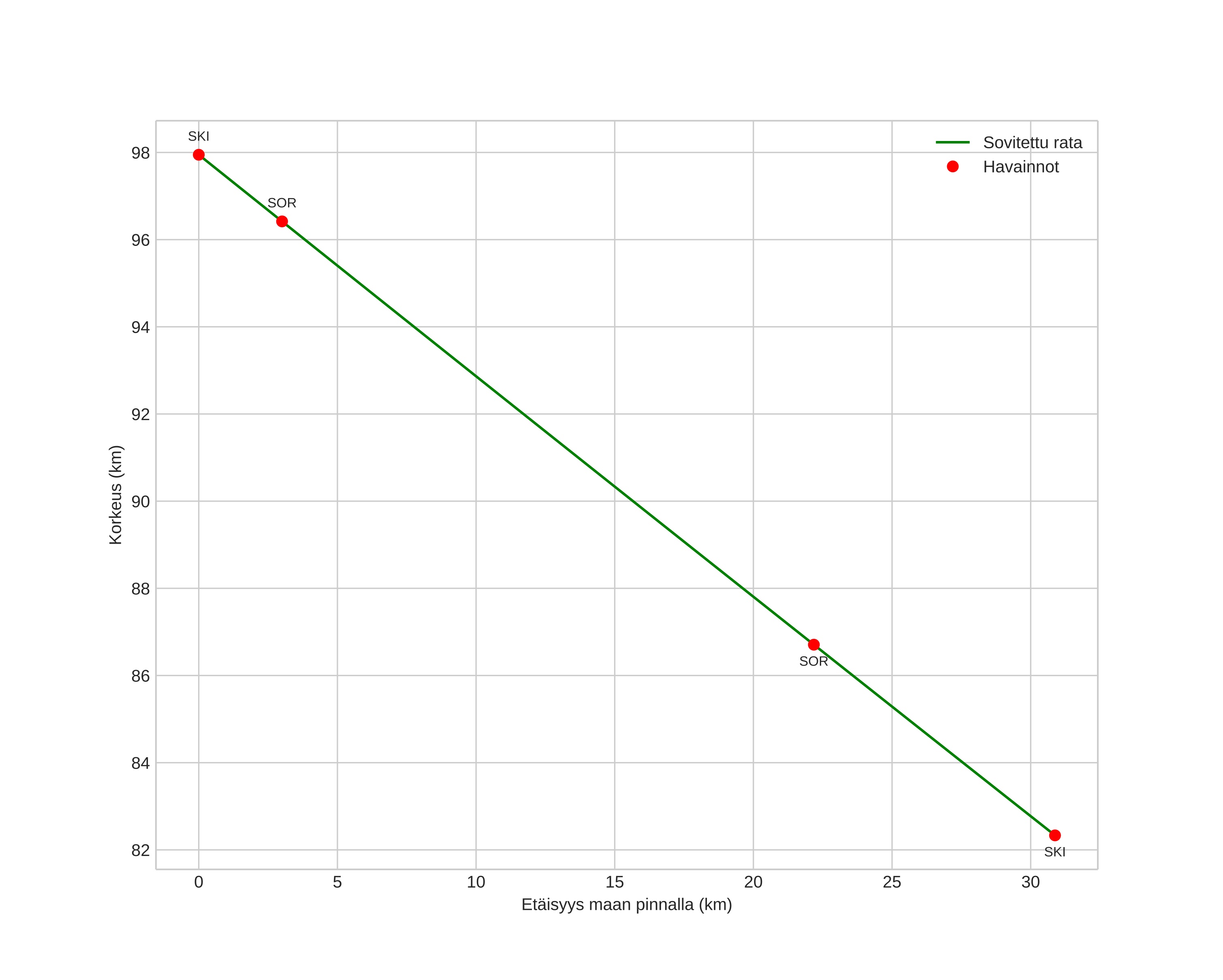
height profile
Meteorin ilmakehärata:
Alkukorkeus: 97,9 km
Loppukorkeus: 82,3 km
Alkupiste: 69,189N 19,616E
Loppupiste: 69,432N 19,238E
Suunta: 331,4°
Kallistuskulma: 26,8°
Tulonopeus: 46,4 km/s
Radiantin R,A,: 11:28 (172,2°)
Radiantin Dekl,: 7,3°
Meteoriparvi: Sporadinen
Meteoroidin rataelementit:
Perihelietäisyys: 0,065 AU
Eksentrisyys: 0,994
Inklinaatio: 15,3°
Nousevan solmun pituus: 323,9°
Perihelin argumentti: 331,0°
Keskianomalia: 359,2°
Epookki: 2022 FEB 12 22:57:53
orbit plot

Ei-interaktiivinen kuvaaja | Interaktiivinen kuvaaja

position vs time
speed and acceleration