🇳🇴 🇬🇧 🇩🇪 🇨🇿 🇫🇮

Meteor, poloha: Jokkmokk 2022-02-13 01:26:59 UTC

Soubor KML  |  InteraktivnĂ­ mapa

Mapa zobrazuje dráhy meteoru. Světlejší čáry ukazují směry od pozorovacích stanic při objevení se meteoru a tmavší čáry, kde byl naposledy viděn. Modrá šipka značí viditelnou dráhu meteoru.

static map
height profile
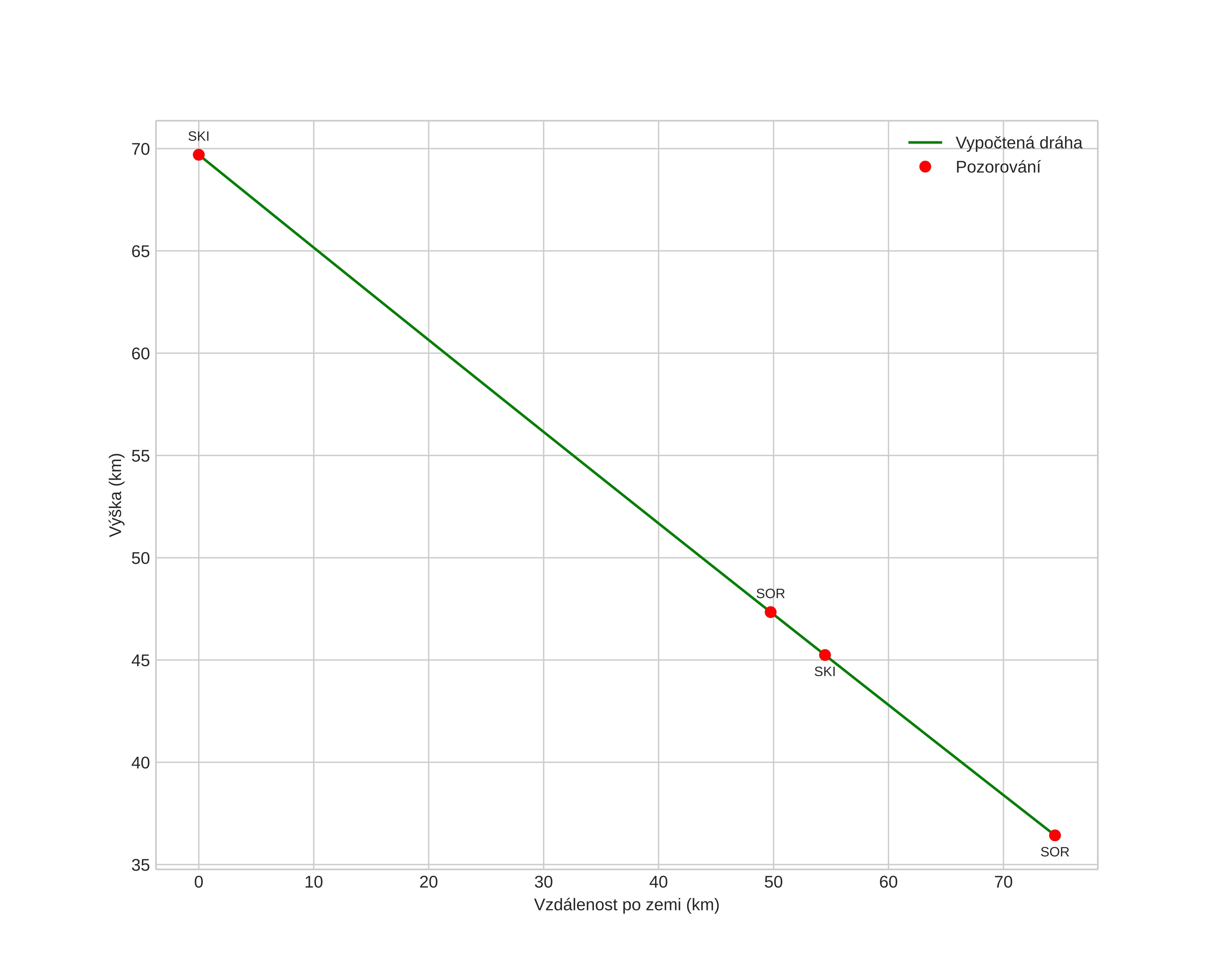
Atmosférická dráha meteoru:
Počáteční výška: 69,5 km
Konečná výška: 36,2 km
Počáteční poloha: 67,905N 18,491E
Konečná poloha: 67,368N 19,534E
Směr: 143,0°
Sklon: 24,2°
VstupnĂ­ rychlost: 12,8 km/s
Rektascenze radiantu: 02:50 (42,7°)
Deklinace radiantu: 17,1°
MeteorickĂ˝ roj: sporadickĂ˝
Elementy dráhy meteoroidu:
Vzdálenost v periheliu: 0,985 AU
Excentricita: 0,493
Sklon dráhy: 0,1°
Délka vzestupného uzlu: 323,3°
Argument perihelia: 174,6°
Střední anomálie: 1,8°
Epocha: 2022 FEB 13 01:26:59
orbit plot

NeinteraktivnĂ­ graf | InteraktivnĂ­ graf

position vs time
speed and acceleration