🇳🇴 🇬🇧 🇩🇪 🇨🇿 🇫🇮

Meteor Jokkmokkin yllä 2022-02-13 01:26:59 UTC

KML-tiedosto  |  Interaktiivinen kartta

Kartta näyttää meteorin suuntahavainnot. Vaaleammat viivat näyttävät suunnat havaintoasemilta meteorin ilmestyessä, ja tummemmat viivat näyttävät, missä se viimeksi nähtiin. Sininen nuoli näyttää meteorin näkyvän lennon.

static map
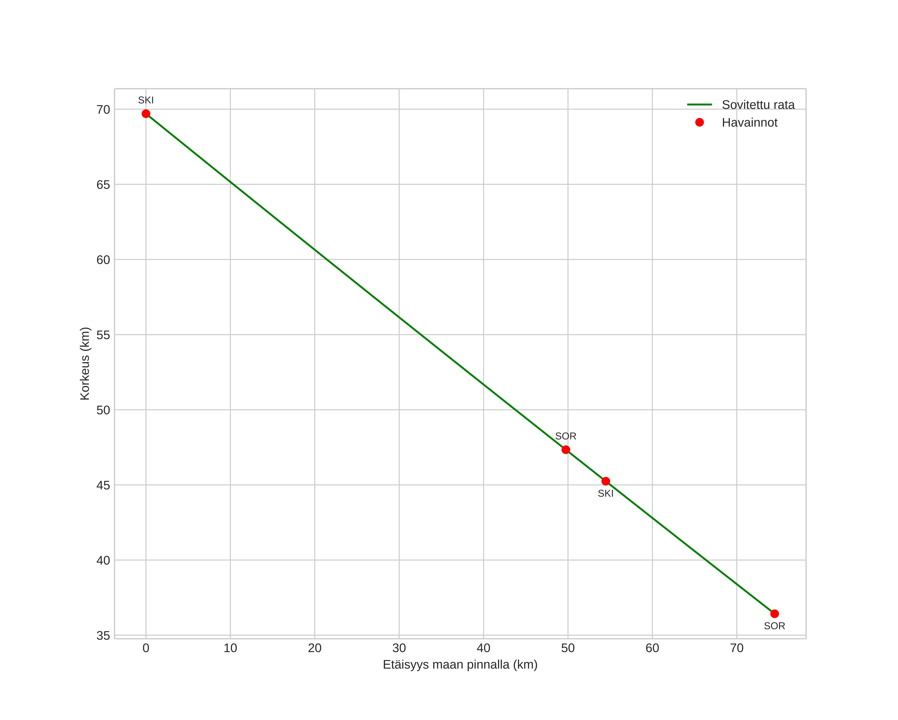
height profile
Meteorin ilmakehärata:
Alkukorkeus: 69,5 km
Loppukorkeus: 36,2 km
Alkupiste: 67,905N 18,491E
Loppupiste: 67,368N 19,534E
Suunta: 143,0°
Kallistuskulma: 24,2°
Tulonopeus: 12,8 km/s
Radiantin R,A,: 02:50 (42,7°)
Radiantin Dekl,: 17,1°
Meteoriparvi: Sporadinen
Meteoroidin rataelementit:
Perihelietäisyys: 0,985 AU
Eksentrisyys: 0,493
Inklinaatio: 0,1°
Nousevan solmun pituus: 323,3°
Perihelin argumentti: 174,6°
Keskianomalia: 1,8°
Epookki: 2022 FEB 13 01:26:59
orbit plot

Ei-interaktiivinen kuvaaja | Interaktiivinen kuvaaja

position vs time
speed and acceleration