🇳🇴 🇬🇧 🇩🇪 🇨🇿 🇫🇮

Meteor, poloha: Hansnes 2022-02-13 01:46:13 UTC

Soubor KML  |  InteraktivnĂ­ mapa

Mapa zobrazuje dráhy meteoru. Světlejší čáry ukazují směry od pozorovacích stanic při objevení se meteoru a tmavší čáry, kde byl naposledy viděn. Modrá šipka značí viditelnou dráhu meteoru.

static map
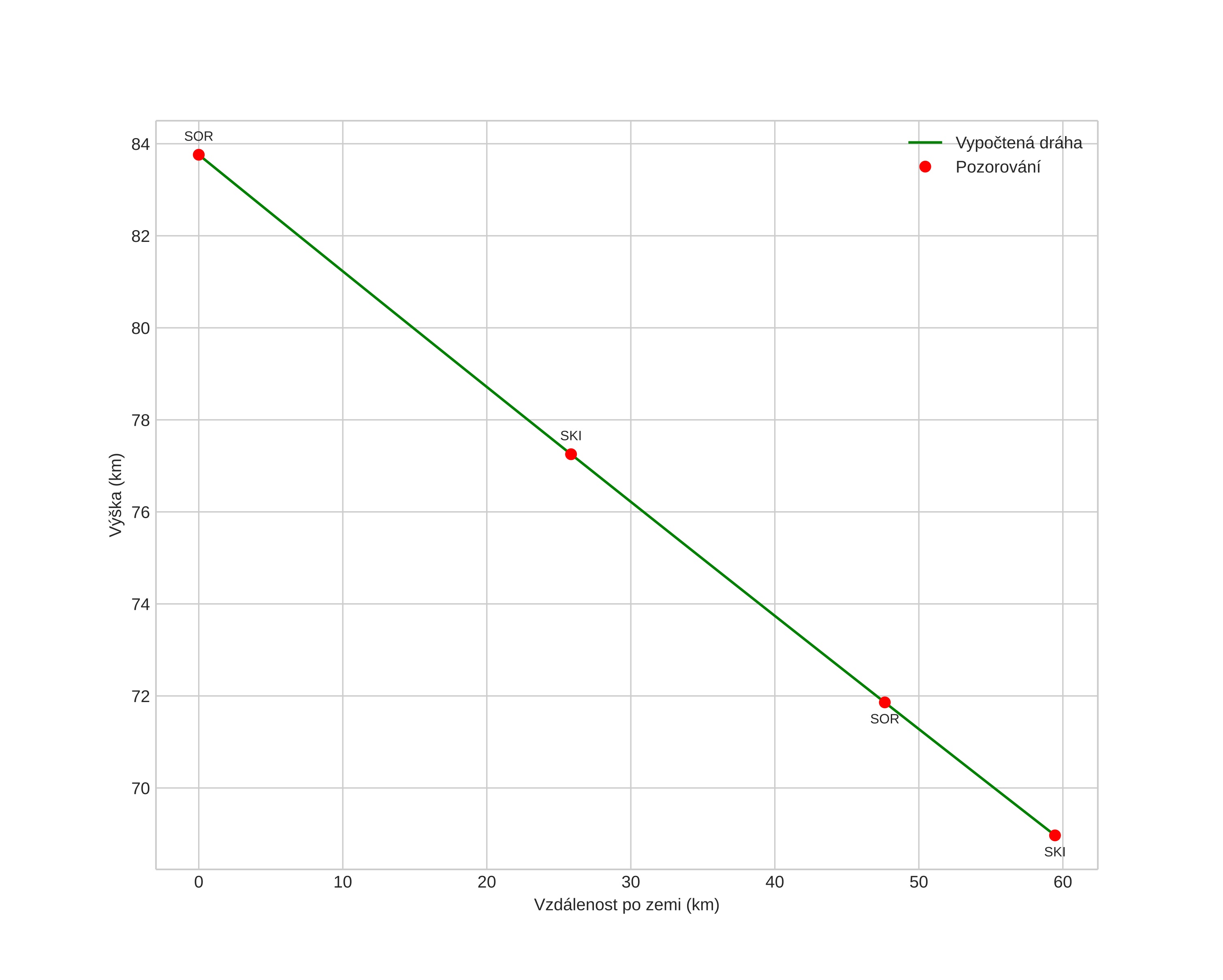
height profile
Atmosférická dráha meteoru:
Počáteční výška: 83,5 km
Konečná výška: 69,1 km
Počáteční poloha: 70,724N 17,454E
Konečná poloha: 71,015N 18,839E
Směr: 56,7°
Sklon: 13,5°
VstupnĂ­ rychlost: 21,7 km/s
Rektascenze radiantu: 08:40 (130,2°)
Deklinace radiantu: -3,9°
MeteorickĂ˝ roj: sporadickĂ˝
Elementy dráhy meteoroidu:
Vzdálenost v periheliu: 0,746 AU
Excentricita: 0,699
Sklon dráhy: 11,7°
Délka vzestupného uzlu: 144,0°
Argument perihelia: 66,1°
Střední anomálie: 349,8°
Epocha: 2022 FEB 13 01:46:13
orbit plot

NeinteraktivnĂ­ graf | InteraktivnĂ­ graf

position vs time
speed and acceleration