🇳🇴 🇬🇧 🇩🇪 🇨🇿 🇫🇮

Meteor Hansnesin yllä 2022-02-13 01:46:13 UTC

KML-tiedosto  |  Interaktiivinen kartta

Kartta näyttää meteorin suuntahavainnot. Vaaleammat viivat näyttävät suunnat havaintoasemilta meteorin ilmestyessä, ja tummemmat viivat näyttävät, missä se viimeksi nähtiin. Sininen nuoli näyttää meteorin näkyvän lennon.

static map
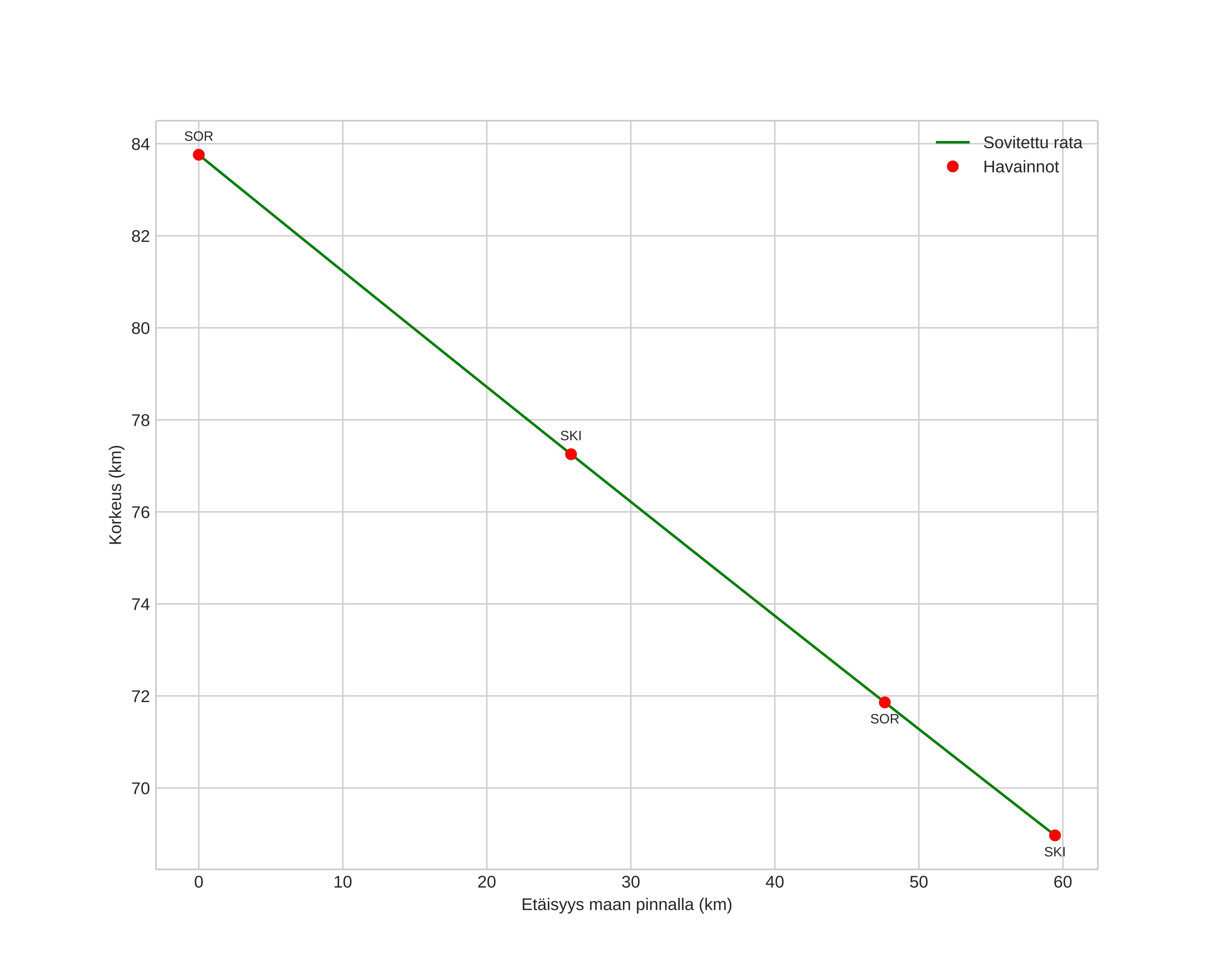
height profile
Meteorin ilmakehärata:
Alkukorkeus: 83,5 km
Loppukorkeus: 69,1 km
Alkupiste: 70,724N 17,454E
Loppupiste: 71,015N 18,839E
Suunta: 56,7°
Kallistuskulma: 13,5°
Tulonopeus: 21,7 km/s
Radiantin R,A,: 08:40 (130,2°)
Radiantin Dekl,: -3,9°
Meteoriparvi: Sporadinen
Meteoroidin rataelementit:
Perihelietäisyys: 0,746 AU
Eksentrisyys: 0,699
Inklinaatio: 11,7°
Nousevan solmun pituus: 144,0°
Perihelin argumentti: 66,1°
Keskianomalia: 349,8°
Epookki: 2022 FEB 13 01:46:13
orbit plot

Ei-interaktiivinen kuvaaja | Interaktiivinen kuvaaja

position vs time
speed and acceleration