🇳🇴 🇬🇧 🇩🇪 🇨🇿 🇫🇮

Meteor, poloha: Storsteinnes 2022-02-13 18:21:46 UTC

Soubor KML  |  InteraktivnĂ­ mapa

Mapa zobrazuje dráhy meteoru. Světlejší čáry ukazují směry od pozorovacích stanic při objevení se meteoru a tmavší čáry, kde byl naposledy viděn. Modrá šipka značí viditelnou dráhu meteoru.

static map
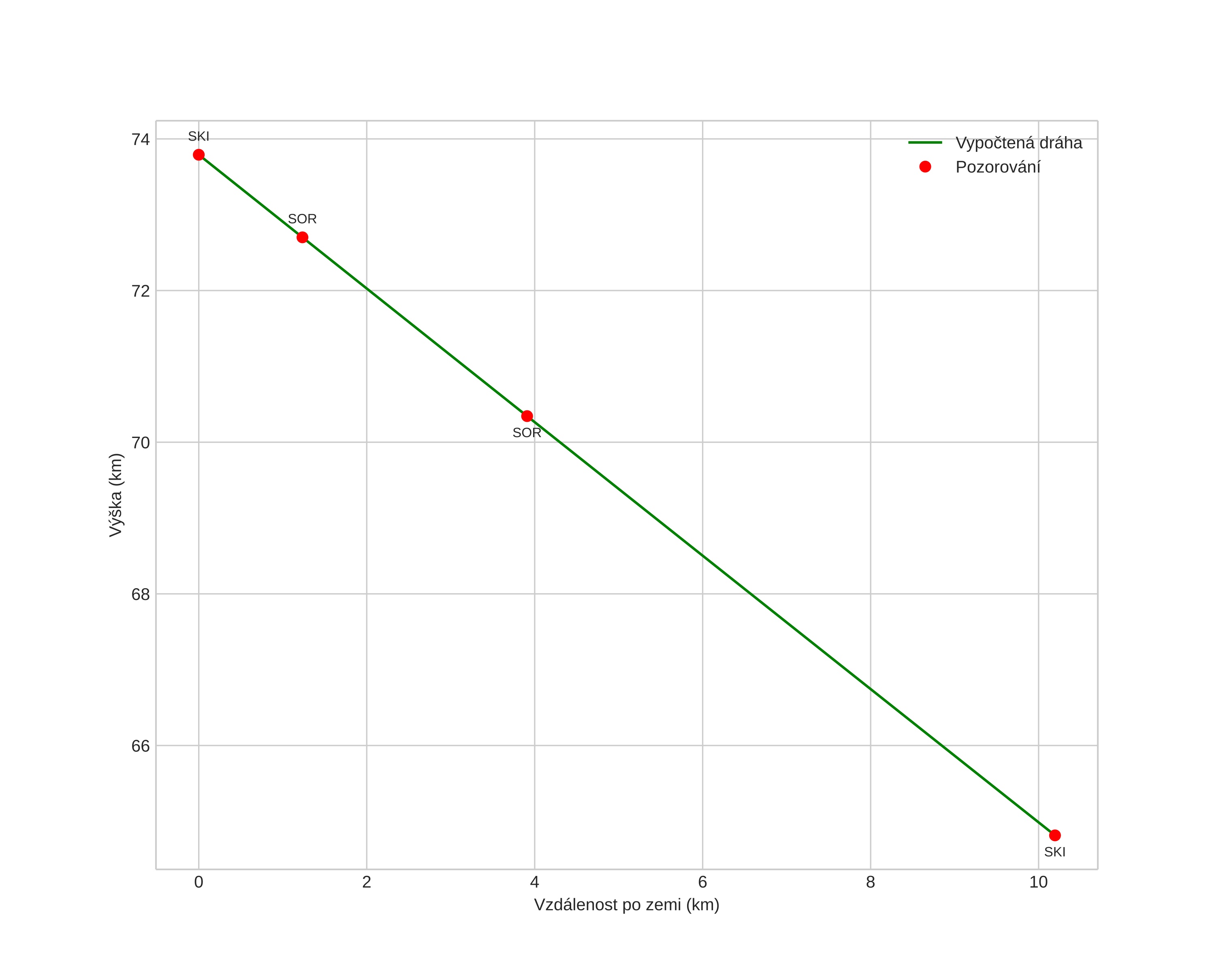
height profile
Atmosférická dráha meteoru:
Počáteční výška: 74,2 km
Konečná výška: 64,7 km
Počáteční poloha: 69,089N 18,960E
Konečná poloha: 69,178N 19,052E
Směr: 19,9°
Sklon: 41,8°
VstupnĂ­ rychlost: 13,4 km/s
Rektascenze radiantu: 03:56 (59,2°)
Deklinace radiantu: 7,5°
MeteorickĂ˝ roj: sporadickĂ˝
Elementy dráhy meteoroidu:
Vzdálenost v periheliu: 0,987 AU
Excentricita: 0,568
Sklon dráhy: 2,5°
Délka vzestupného uzlu: 144,8°
Argument perihelia: 0,7°
Střední anomálie: 359,8°
Epocha: 2022 FEB 13 18:21:46
orbit plot

NeinteraktivnĂ­ graf | InteraktivnĂ­ graf

position vs time
speed and acceleration