🇳🇴 🇬🇧 🇩🇪 🇨🇿 🇫🇮

Meteor Storsteinnesin yllä 2022-02-13 18:21:46 UTC

KML-tiedosto  |  Interaktiivinen kartta

Kartta näyttää meteorin suuntahavainnot. Vaaleammat viivat näyttävät suunnat havaintoasemilta meteorin ilmestyessä, ja tummemmat viivat näyttävät, missä se viimeksi nähtiin. Sininen nuoli näyttää meteorin näkyvän lennon.

static map
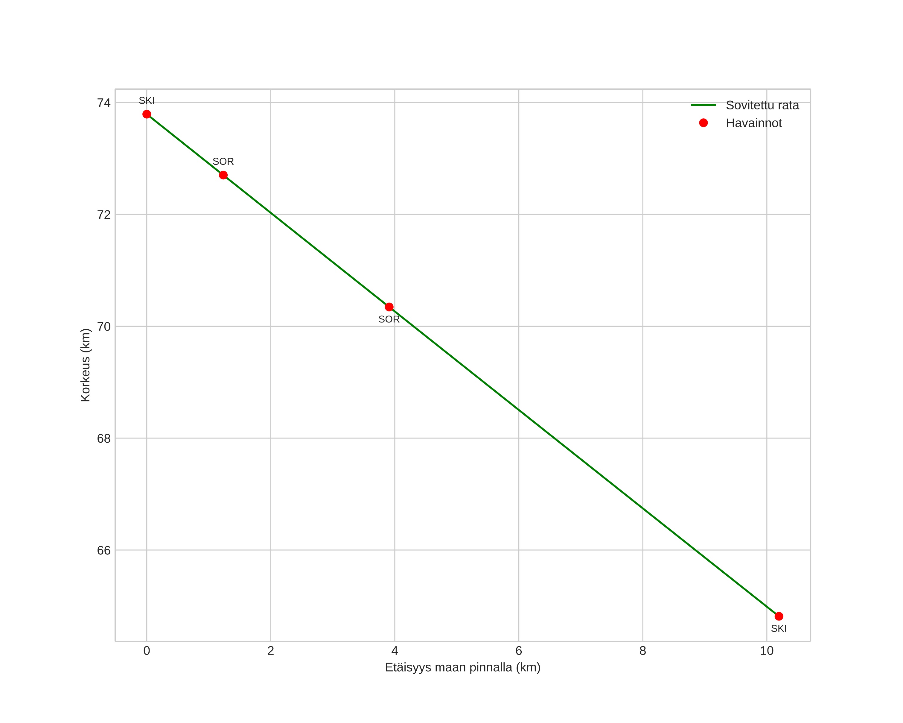
height profile
Meteorin ilmakehärata:
Alkukorkeus: 74,2 km
Loppukorkeus: 64,7 km
Alkupiste: 69,089N 18,960E
Loppupiste: 69,178N 19,052E
Suunta: 19,9°
Kallistuskulma: 41,8°
Tulonopeus: 13,4 km/s
Radiantin R,A,: 03:56 (59,2°)
Radiantin Dekl,: 7,5°
Meteoriparvi: Sporadinen
Meteoroidin rataelementit:
Perihelietäisyys: 0,987 AU
Eksentrisyys: 0,568
Inklinaatio: 2,5°
Nousevan solmun pituus: 144,8°
Perihelin argumentti: 0,7°
Keskianomalia: 359,8°
Epookki: 2022 FEB 13 18:21:46
orbit plot

Ei-interaktiivinen kuvaaja | Interaktiivinen kuvaaja

position vs time
speed and acceleration