🇳🇴 🇬🇧 🇩🇪 🇨🇿 🇫🇮

Meteor, poloha: Storsteinnes 2022-02-13 18:21:47 UTC

Soubor KML  |  InteraktivnĂ­ mapa

Mapa zobrazuje dráhy meteoru. Světlejší čáry ukazují směry od pozorovacích stanic při objevení se meteoru a tmavší čáry, kde byl naposledy viděn. Modrá šipka značí viditelnou dráhu meteoru.

static map
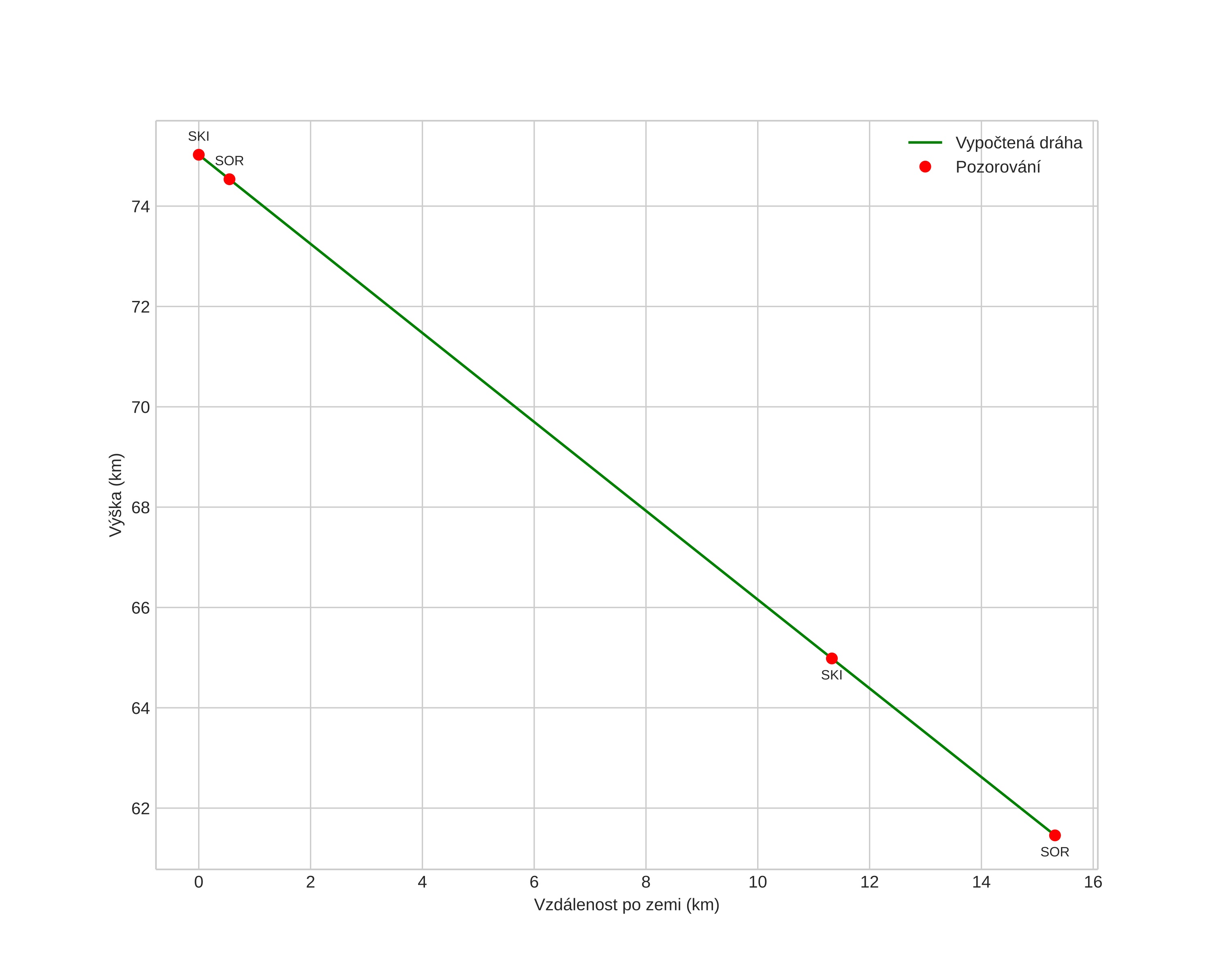
height profile
Atmosférická dráha meteoru:
Počáteční výška: 75,0 km
Konečná výška: 64,8 km
Počáteční poloha: 69,085N 18,949E
Konečná poloha: 69,183N 19,046E
Směr: 19,4°
Sklon: 41,5°
VstupnĂ­ rychlost: 14,1 km/s
Rektascenze radiantu: 03:59 (59,9°)
Deklinace radiantu: 9,2°
MeteorickĂ˝ roj: sporadickĂ˝
Elementy dráhy meteoroidu:
Vzdálenost v periheliu: 0,987 AU
Excentricita: 0,666
Sklon dráhy: 2,5°
Délka vzestupného uzlu: 144,8°
Argument perihelia: 1,5°
Střední anomálie: 359,8°
Epocha: 2022 FEB 13 18:21:47
orbit plot

NeinteraktivnĂ­ graf | InteraktivnĂ­ graf

position vs time
speed and acceleration