🇳🇴 🇬🇧 🇩🇪 🇨🇿 🇫🇮

Meteor Storsteinnesin yllä 2022-02-13 18:21:47 UTC

KML-tiedosto  |  Interaktiivinen kartta

Kartta näyttää meteorin suuntahavainnot. Vaaleammat viivat näyttävät suunnat havaintoasemilta meteorin ilmestyessä, ja tummemmat viivat näyttävät, missä se viimeksi nähtiin. Sininen nuoli näyttää meteorin näkyvän lennon.

static map
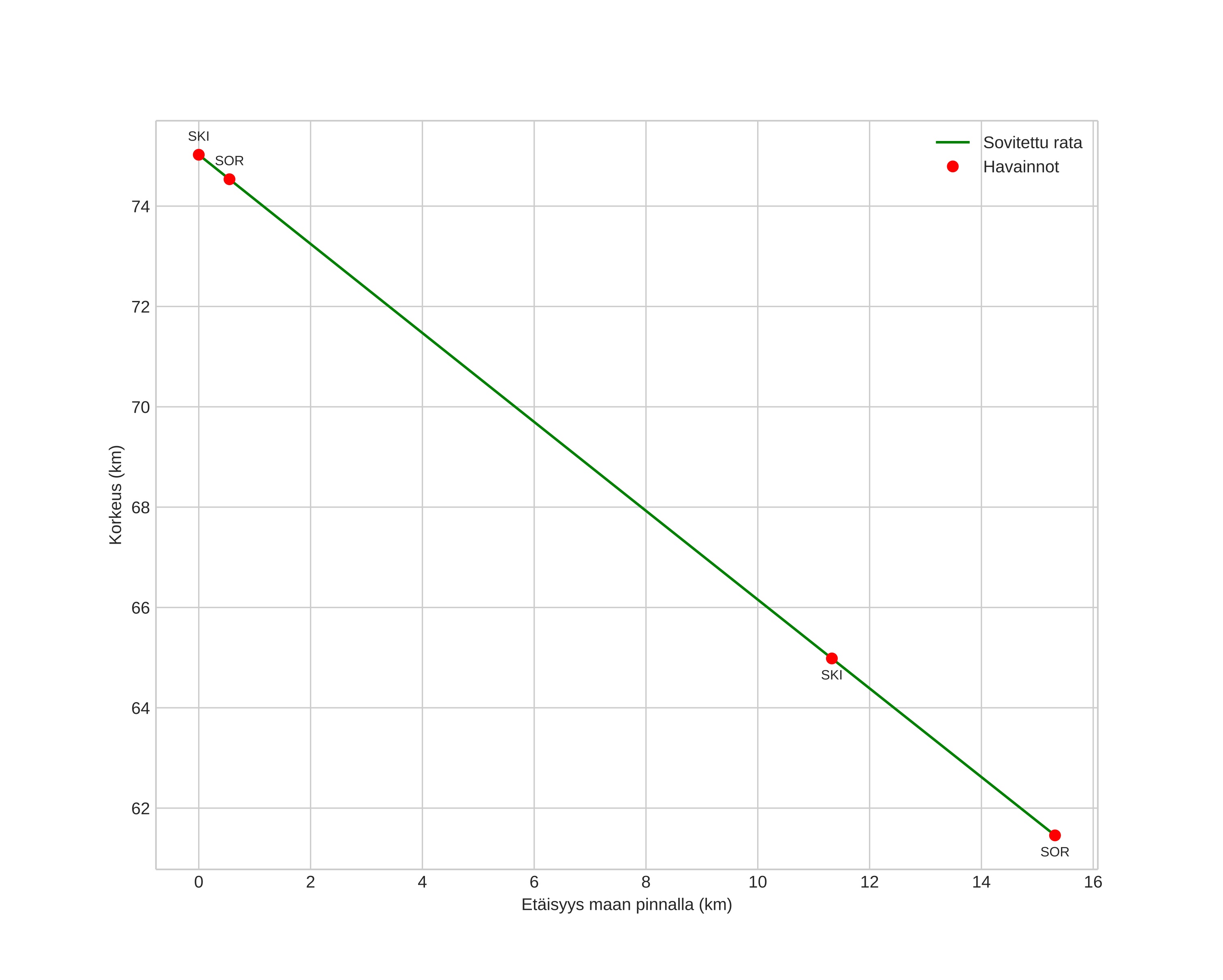
height profile
Meteorin ilmakehärata:
Alkukorkeus: 75,0 km
Loppukorkeus: 64,8 km
Alkupiste: 69,085N 18,949E
Loppupiste: 69,183N 19,046E
Suunta: 19,4°
Kallistuskulma: 41,5°
Tulonopeus: 14,1 km/s
Radiantin R,A,: 03:59 (59,9°)
Radiantin Dekl,: 9,2°
Meteoriparvi: Sporadinen
Meteoroidin rataelementit:
Perihelietäisyys: 0,987 AU
Eksentrisyys: 0,666
Inklinaatio: 2,5°
Nousevan solmun pituus: 144,8°
Perihelin argumentti: 1,5°
Keskianomalia: 359,8°
Epookki: 2022 FEB 13 18:21:47
orbit plot

Ei-interaktiivinen kuvaaja | Interaktiivinen kuvaaja

position vs time
speed and acceleration