🇳🇴 🇬🇧 🇩🇪 🇨🇿 🇫🇮

Meteor, poloha: Moen 2022-02-16 02:44:22 UTC

Soubor KML  |  InteraktivnĂ­ mapa

Mapa zobrazuje dráhy meteoru. Světlejší čáry ukazují směry od pozorovacích stanic při objevení se meteoru a tmavší čáry, kde byl naposledy viděn. Modrá šipka značí viditelnou dráhu meteoru.

static map
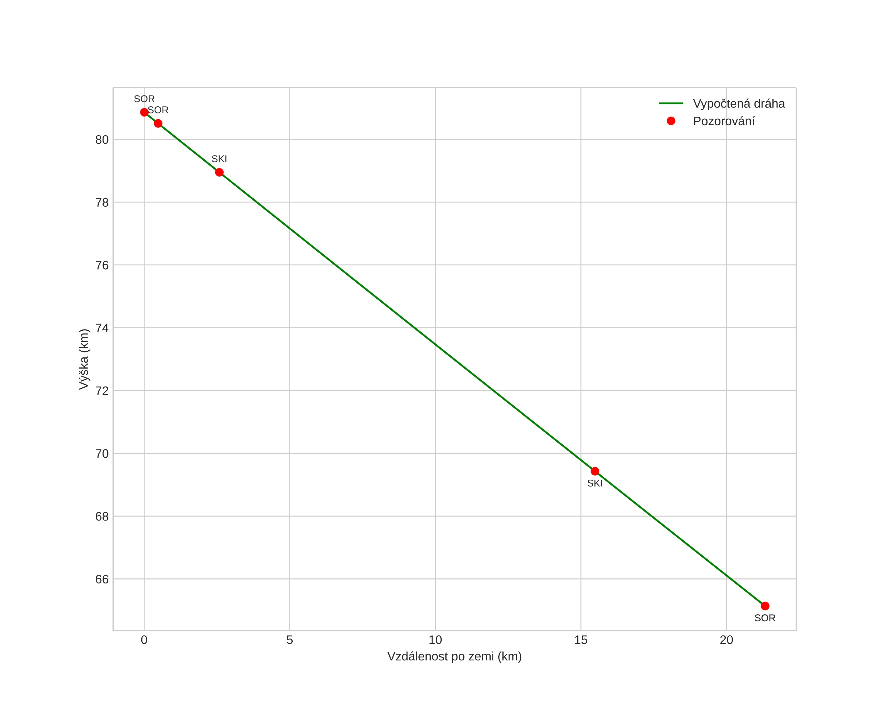
height profile
Atmosférická dráha meteoru:
Počáteční výška: 80,4 km
Konečná výška: 64,7 km
Počáteční poloha: 69,585N 18,735E
Konečná poloha: 69,424N 18,448E
Směr: 212,2°
Sklon: 36,6°
VstupnĂ­ rychlost: 16,7 km/s
Rektascenze radiantu: 22:59 (344,8°)
Deklinace radiantu: 44,9°
MeteorickĂ˝ roj: sporadickĂ˝
Elementy dráhy meteoroidu:
Vzdálenost v periheliu: 0,945 AU
Excentricita: 0,590
Sklon dráhy: 14,0°
Délka vzestupného uzlu: 327,1°
Argument perihelia: 152,2°
Střední anomálie: 6,0°
Epocha: 2022 FEB 16 02:44:22
orbit plot

NeinteraktivnĂ­ graf | InteraktivnĂ­ graf

position vs time
speed and acceleration