🇳🇴 🇬🇧 🇩🇪 🇨🇿 🇫🇮

Meteor Moenin yllä 2022-02-16 02:44:22 UTC

KML-tiedosto  |  Interaktiivinen kartta

Kartta näyttää meteorin suuntahavainnot. Vaaleammat viivat näyttävät suunnat havaintoasemilta meteorin ilmestyessä, ja tummemmat viivat näyttävät, missä se viimeksi nähtiin. Sininen nuoli näyttää meteorin näkyvän lennon.

static map
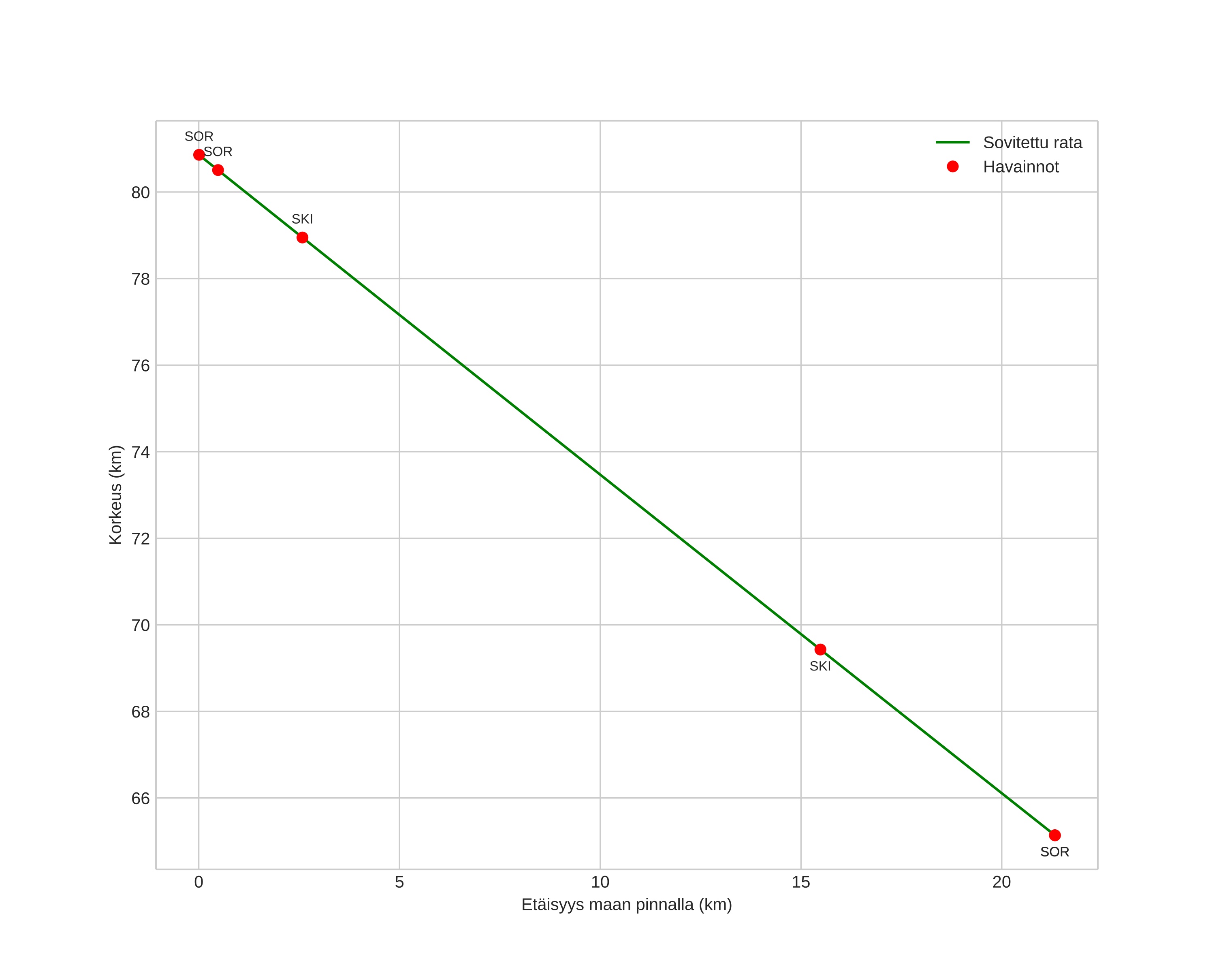
height profile
Meteorin ilmakehärata:
Alkukorkeus: 80,4 km
Loppukorkeus: 64,7 km
Alkupiste: 69,585N 18,735E
Loppupiste: 69,424N 18,448E
Suunta: 212,2°
Kallistuskulma: 36,6°
Tulonopeus: 16,7 km/s
Radiantin R,A,: 22:59 (344,8°)
Radiantin Dekl,: 44,9°
Meteoriparvi: Sporadinen
Meteoroidin rataelementit:
Perihelietäisyys: 0,945 AU
Eksentrisyys: 0,590
Inklinaatio: 14,0°
Nousevan solmun pituus: 327,1°
Perihelin argumentti: 152,2°
Keskianomalia: 6,0°
Epookki: 2022 FEB 16 02:44:22
orbit plot

Ei-interaktiivinen kuvaaja | Interaktiivinen kuvaaja

position vs time
speed and acceleration