🇳🇴 🇬🇧 🇩🇪 🇨🇿 🇫🇮

Meteor, poloha: Gaupne 2022-02-19 18:19:46 UTC

Soubor KML  |  InteraktivnĂ­ mapa

Mapa zobrazuje dráhy meteoru. Světlejší čáry ukazují směry od pozorovacích stanic při objevení se meteoru a tmavší čáry, kde byl naposledy viděn. Modrá šipka značí viditelnou dráhu meteoru.

static map
height profile
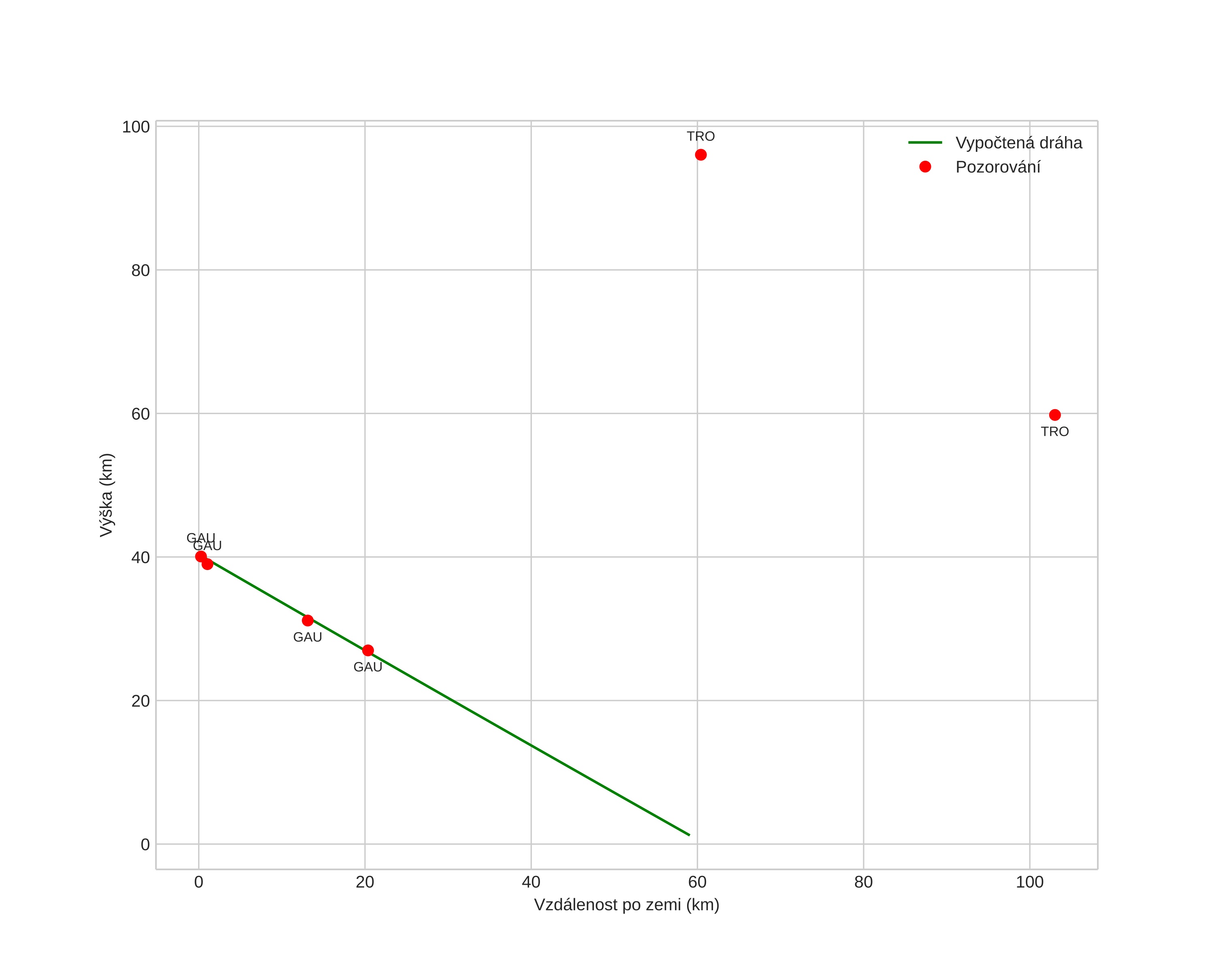
Atmosférická dráha meteoru:
Počáteční výška: 40,5 km
Konečná výška: 1,3 km
Počáteční poloha: 61,570N 8,374E
Konečná poloha: 61,825N 7,379E
Směr: 298,8°
Sklon: 33,3°
VstupnĂ­ rychlost: 22,5 km/s
Rektascenze radiantu: 08:16 (124,1°)
Deklinace radiantu: 13,1°
MeteorickĂ˝ roj: sporadickĂ˝
Elementy dráhy meteoroidu:
Vzdálenost v periheliu: 0,836 AU
Excentricita: 1,008
Sklon dráhy: 3,2°
Délka vzestupného uzlu: 150,8°
Argument perihelia: 46,1°
Střední anomálie: -0,0°
Epocha: 2022 FEB 19 18:19:46
orbit plot

NeinteraktivnĂ­ graf | InteraktivnĂ­ graf

position vs time
speed and acceleration