🇳🇴 🇬🇧 🇩🇪 🇨🇿 🇫🇮

Meteor Gaupnen yllä 2022-02-19 18:19:46 UTC

KML-tiedosto  |  Interaktiivinen kartta

Kartta näyttää meteorin suuntahavainnot. Vaaleammat viivat näyttävät suunnat havaintoasemilta meteorin ilmestyessä, ja tummemmat viivat näyttävät, missä se viimeksi nähtiin. Sininen nuoli näyttää meteorin näkyvän lennon.

static map
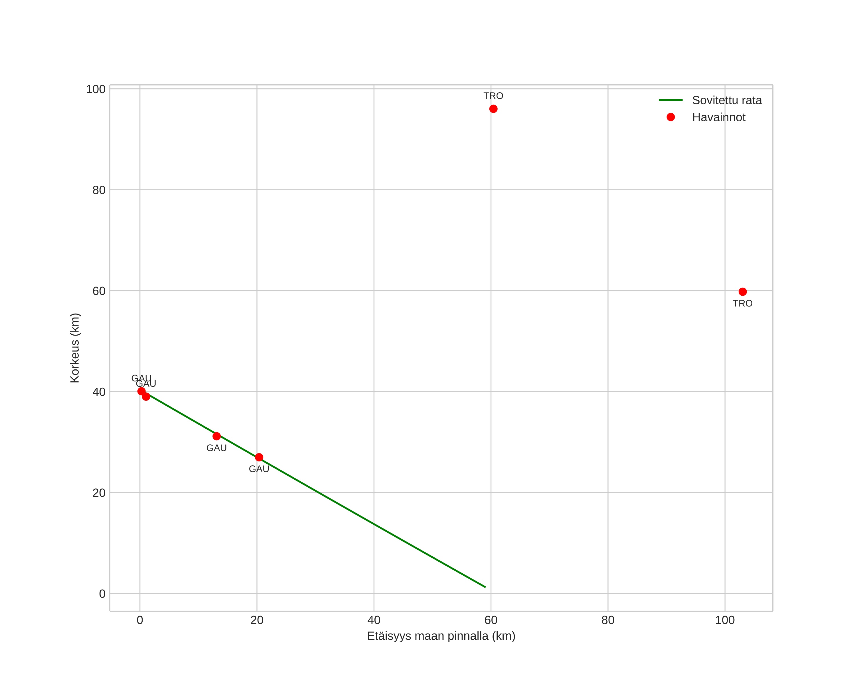
height profile
Meteorin ilmakehärata:
Alkukorkeus: 40,5 km
Loppukorkeus: 1,3 km
Alkupiste: 61,570N 8,374E
Loppupiste: 61,825N 7,379E
Suunta: 298,8°
Kallistuskulma: 33,3°
Tulonopeus: 22,5 km/s
Radiantin R,A,: 08:16 (124,1°)
Radiantin Dekl,: 13,1°
Meteoriparvi: Sporadinen
Meteoroidin rataelementit:
Perihelietäisyys: 0,836 AU
Eksentrisyys: 1,008
Inklinaatio: 3,2°
Nousevan solmun pituus: 150,8°
Perihelin argumentti: 46,1°
Keskianomalia: -0,0°
Epookki: 2022 FEB 19 18:19:46
orbit plot

Ei-interaktiivinen kuvaaja | Interaktiivinen kuvaaja

position vs time
speed and acceleration