🇳🇴 🇬🇧 🇩🇪 🇨🇿 🇫🇮

Meteor, poloha: Moss 2022-02-19 19:30:01 UTC

Soubor KML  |  InteraktivnĂ­ mapa

Mapa zobrazuje dráhy meteoru. Světlejší čáry ukazují směry od pozorovacích stanic při objevení se meteoru a tmavší čáry, kde byl naposledy viděn. Modrá šipka značí viditelnou dráhu meteoru.

static map
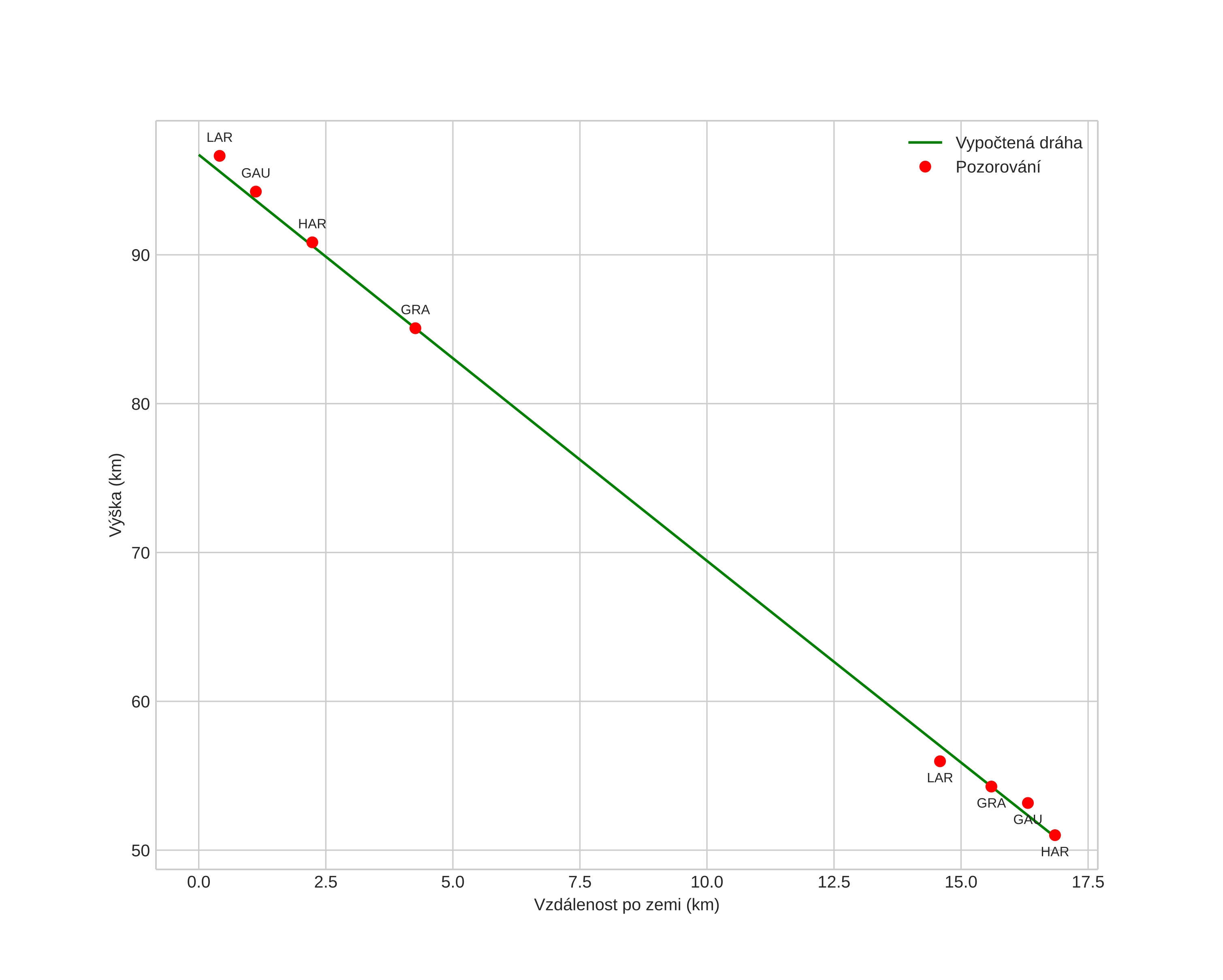
height profile
Atmosférická dráha meteoru:
Počáteční výška: 96,7 km
Konečná výška: 51,0 km
Počáteční poloha: 59,343N 10,669E
Konečná poloha: 59,494N 10,658E
Směr: 357,9°
Sklon: 69,8°
VstupnĂ­ rychlost: 15,2 km/s
Rektascenze radiantu: 06:08 (92,2°)
Deklinace radiantu: 35,2°
MeteorickĂ˝ roj: sporadickĂ˝
Elementy dráhy meteoroidu:
Vzdálenost v periheliu: 0,970 AU
Excentricita: 0,715
Sklon dráhy: 3,1°
Délka vzestupného uzlu: 330,8°
Argument perihelia: 197,1°
Střední anomálie: 358,0°
Epocha: 2022 FEB 19 19:30:01
orbit plot

NeinteraktivnĂ­ graf | InteraktivnĂ­ graf

position vs time
speed and acceleration