🇳🇴 🇬🇧 🇩🇪 🇨🇿 🇫🇮

Meteor, poloha: Särö 2022-02-20 02:03:39 UTC

Soubor KML  |  InteraktivnĂ­ mapa

Mapa zobrazuje dráhy meteoru. Světlejší čáry ukazují směry od pozorovacích stanic při objevení se meteoru a tmavší čáry, kde byl naposledy viděn. Modrá šipka značí viditelnou dráhu meteoru.

static map
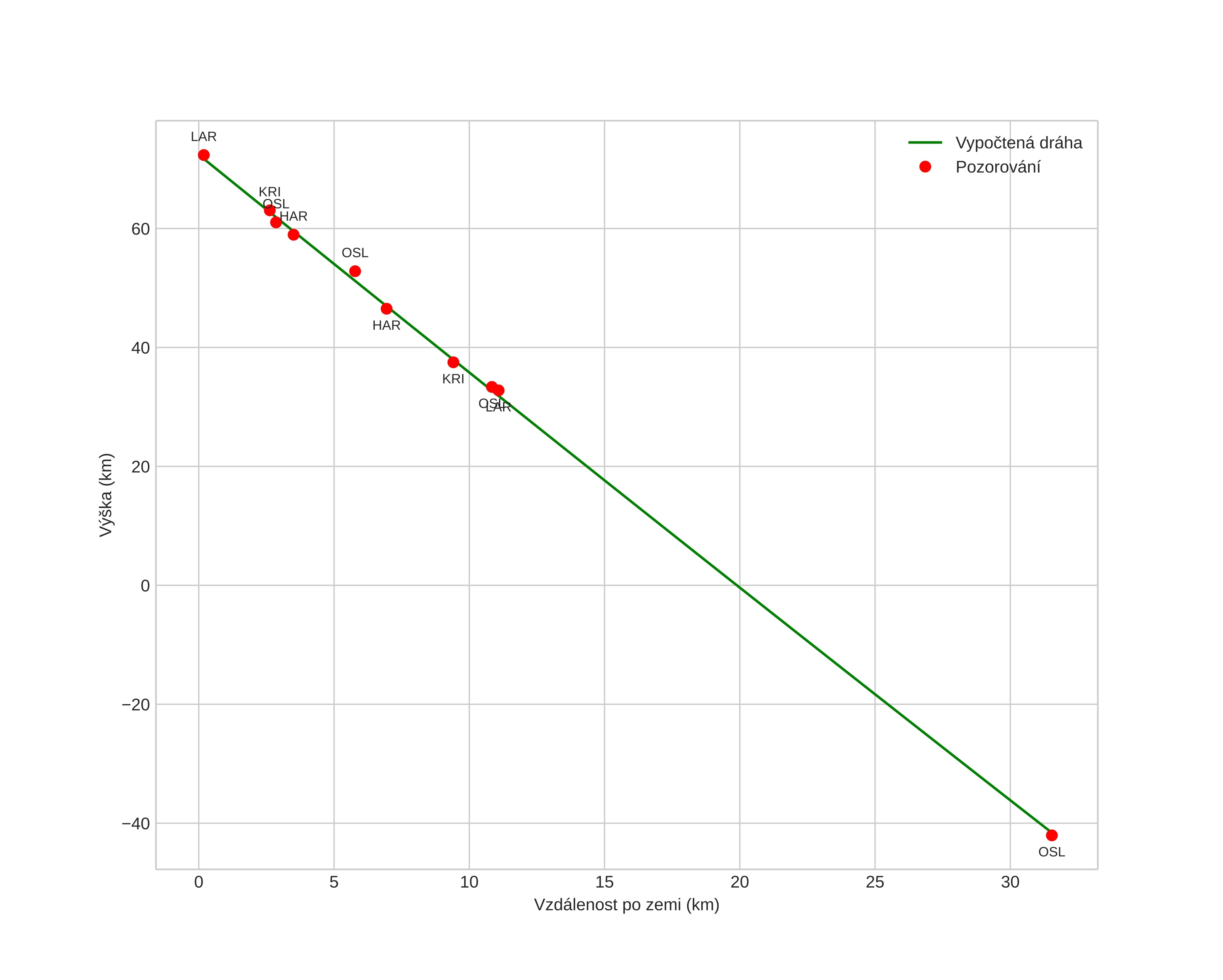
height profile
Atmosférická dráha meteoru:
Počáteční výška: 68,0 km
Konečná výška: 32,2 km
Počáteční poloha: 57,573N 12,004E
Konečná poloha: 57,511N 11,889E
Směr: 225,1°
Sklon: 74,8°
VstupnĂ­ rychlost: 13,5 km/s
Rektascenze radiantu: 15:09 (227,3°)
Deklinace radiantu: 67,9°
MeteorickĂ˝ roj: sporadickĂ˝
Elementy dráhy meteoroidu:
Vzdálenost v periheliu: 0,966 AU
Excentricita: 0,084
Sklon dráhy: 13,7°
Délka vzestupného uzlu: 331,1°
Argument perihelia: 225,8°
Střední anomálie: 320,8°
Epocha: 2022 FEB 20 02:03:39
orbit plot

NeinteraktivnĂ­ graf | InteraktivnĂ­ graf

position vs time
speed and acceleration