🇳🇴 🇬🇧 🇩🇪 🇨🇿 🇫🇮

Meteor Säröin yllä 2022-02-20 02:03:39 UTC

KML-tiedosto  |  Interaktiivinen kartta

Kartta näyttää meteorin suuntahavainnot. Vaaleammat viivat näyttävät suunnat havaintoasemilta meteorin ilmestyessä, ja tummemmat viivat näyttävät, missä se viimeksi nähtiin. Sininen nuoli näyttää meteorin näkyvän lennon.

static map
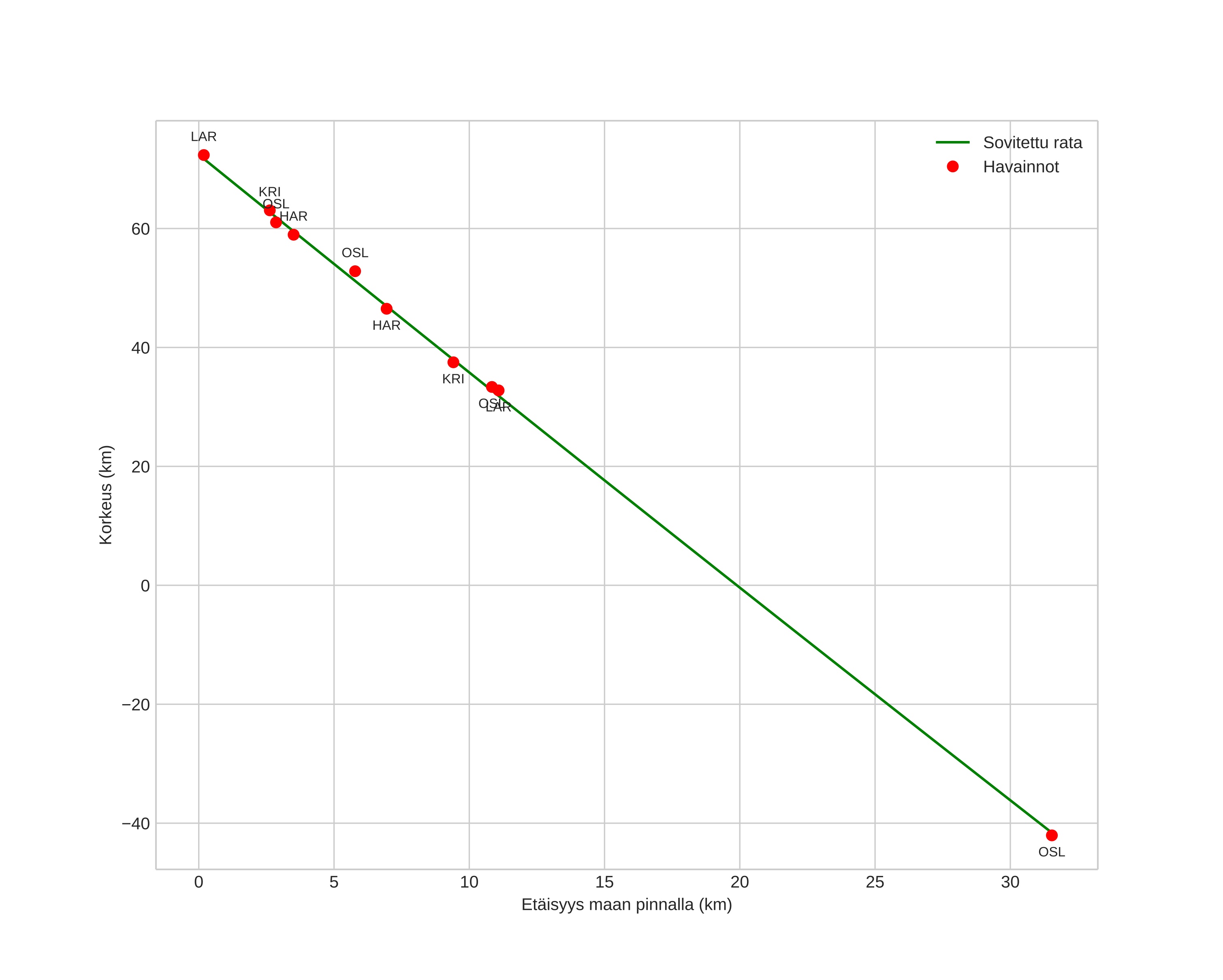
height profile
Meteorin ilmakehärata:
Alkukorkeus: 68,0 km
Loppukorkeus: 32,2 km
Alkupiste: 57,573N 12,004E
Loppupiste: 57,511N 11,889E
Suunta: 225,1°
Kallistuskulma: 74,8°
Tulonopeus: 13,5 km/s
Radiantin R,A,: 15:09 (227,3°)
Radiantin Dekl,: 67,9°
Meteoriparvi: Sporadinen
Meteoroidin rataelementit:
Perihelietäisyys: 0,966 AU
Eksentrisyys: 0,084
Inklinaatio: 13,7°
Nousevan solmun pituus: 331,1°
Perihelin argumentti: 225,8°
Keskianomalia: 320,8°
Epookki: 2022 FEB 20 02:03:39
orbit plot

Ei-interaktiivinen kuvaaja | Interaktiivinen kuvaaja

position vs time
speed and acceleration