🇳🇴 🇬🇧 🇩🇪 🇨🇿 🇫🇮

Meteor, poloha: Ekshärad 2022-02-20 04:09:15 UTC

Soubor KML  |  InteraktivnĂ­ mapa

Mapa zobrazuje dráhy meteoru. Světlejší čáry ukazují směry od pozorovacích stanic při objevení se meteoru a tmavší čáry, kde byl naposledy viděn. Modrá šipka značí viditelnou dráhu meteoru.

static map
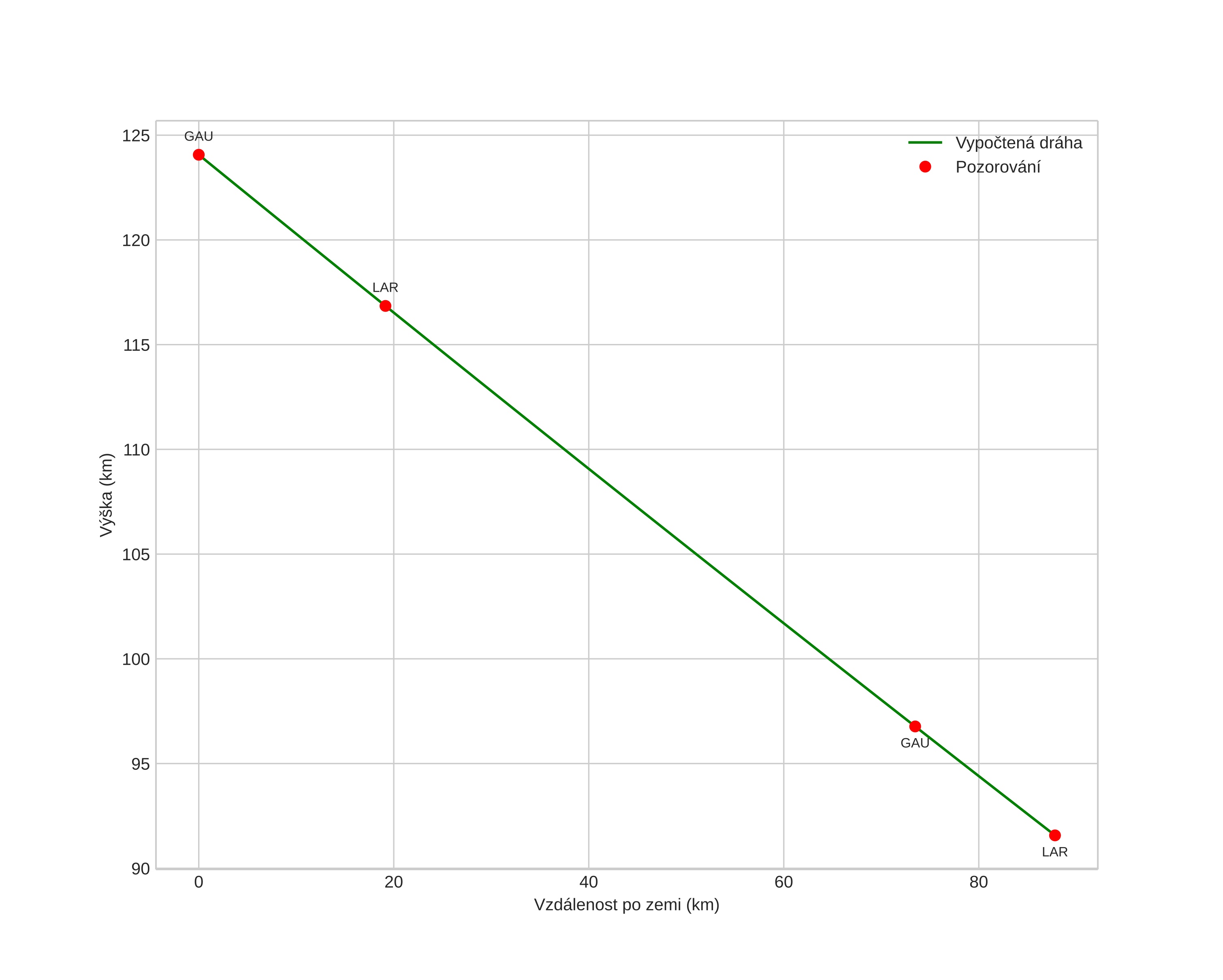
height profile
Atmosférická dráha meteoru:
Počáteční výška: 124,4 km
Konečná výška: 91,2 km
Počáteční poloha: 59,564N 14,267E
Konečná poloha: 60,290N 13,639E
Směr: 336,8°
Sklon: 20,7°
VstupnĂ­ rychlost: 79,4 km/s
Rektascenze radiantu: 16:31 (248,0°)
Deklinace radiantu: -7,9°
MeteorickĂ˝ roj: sporadickĂ˝
Elementy dráhy meteoroidu:
Vzdálenost v periheliu: 0,965 AU
Excentricita: 1,787
Sklon dráhy: 157,7°
Délka vzestupného uzlu: 331,2°
Argument perihelia: 164,3°
Střední anomálie: 6,7°
Epocha: 2022 FEB 20 04:09:15
orbit plot

NeinteraktivnĂ­ graf | InteraktivnĂ­ graf

position vs time
speed and acceleration

Gaustatoppen (GAU) cam3

gnomonic
Videa
• Původní
Obrázky
• Původní
Textové soubory
• Detekce
• Pozorování
• Souřadnice
• Chybová hlášení
• Protokol
Jasnost