🇳🇴 🇬🇧 🇩🇪 🇨🇿 🇫🇮

Meteor Ekshäradin yllä 2022-02-20 04:09:15 UTC

KML-tiedosto  |  Interaktiivinen kartta

Kartta näyttää meteorin suuntahavainnot. Vaaleammat viivat näyttävät suunnat havaintoasemilta meteorin ilmestyessä, ja tummemmat viivat näyttävät, missä se viimeksi nähtiin. Sininen nuoli näyttää meteorin näkyvän lennon.

static map
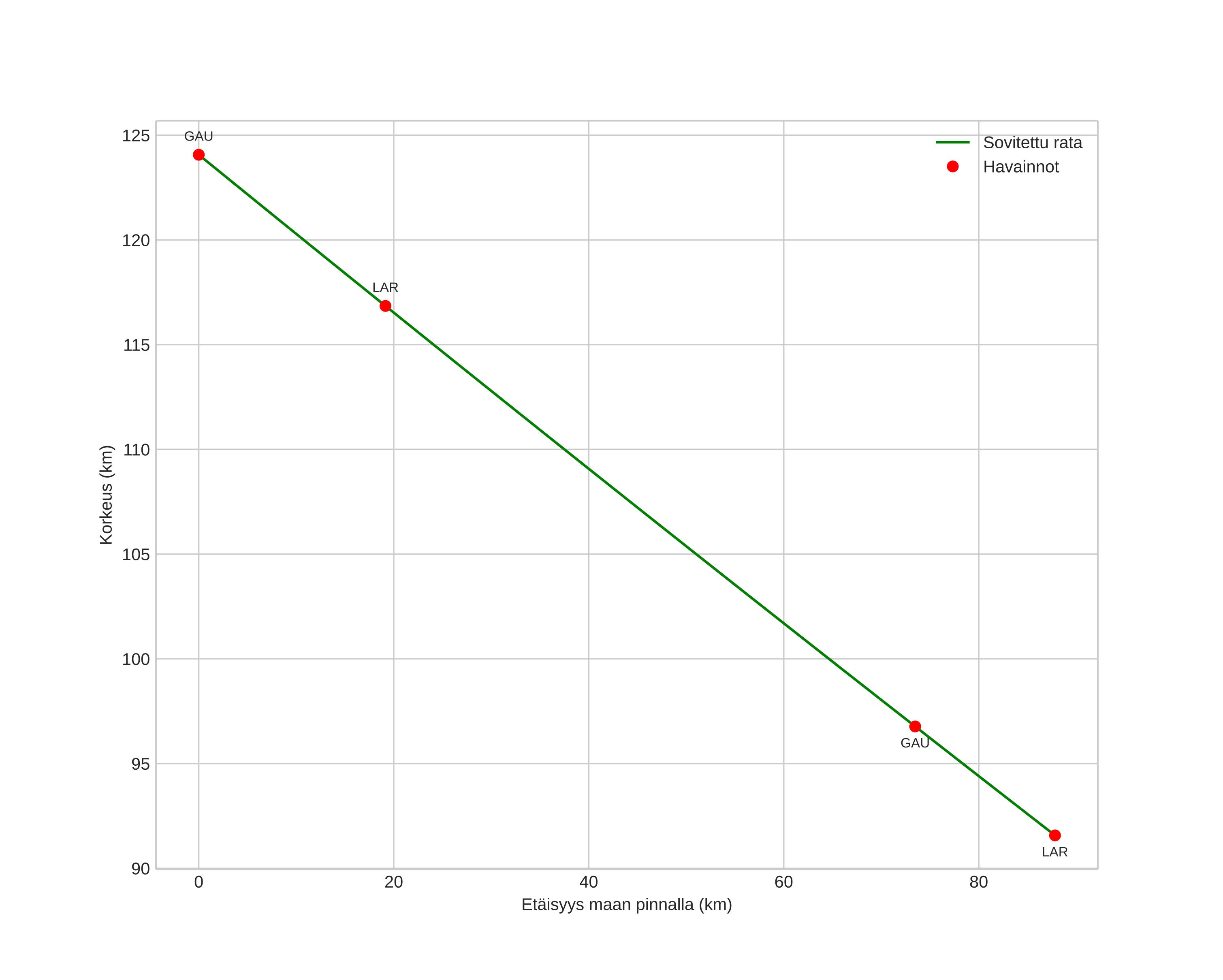
height profile
Meteorin ilmakehärata:
Alkukorkeus: 124,4 km
Loppukorkeus: 91,2 km
Alkupiste: 59,564N 14,267E
Loppupiste: 60,290N 13,639E
Suunta: 336,8°
Kallistuskulma: 20,7°
Tulonopeus: 79,4 km/s
Radiantin R,A,: 16:31 (248,0°)
Radiantin Dekl,: -7,9°
Meteoriparvi: Sporadinen
Meteoroidin rataelementit:
Perihelietäisyys: 0,965 AU
Eksentrisyys: 1,787
Inklinaatio: 157,7°
Nousevan solmun pituus: 331,2°
Perihelin argumentti: 164,3°
Keskianomalia: 6,7°
Epookki: 2022 FEB 20 04:09:15
orbit plot

Ei-interaktiivinen kuvaaja | Interaktiivinen kuvaaja

position vs time
speed and acceleration

Gaustatoppen (GAU) cam3

gnomonic
Videot:
• Alkuperäinen
Kuvat:
• Alkuperäinen
Tekstitiedostot:
• Havaintoraportti
• Observaatio
• Koordinaatit
• Virheilmoitukset
• Loki
Kirkkaus