🇳🇴 🇬🇧 🇩🇪 🇨🇿 🇫🇮

Meteor, poloha: Sørreisa 2022-02-21 18:02:38 UTC

Soubor KML  |  InteraktivnĂ­ mapa

Mapa zobrazuje dráhy meteoru. Světlejší čáry ukazují směry od pozorovacích stanic při objevení se meteoru a tmavší čáry, kde byl naposledy viděn. Modrá šipka značí viditelnou dráhu meteoru.

static map
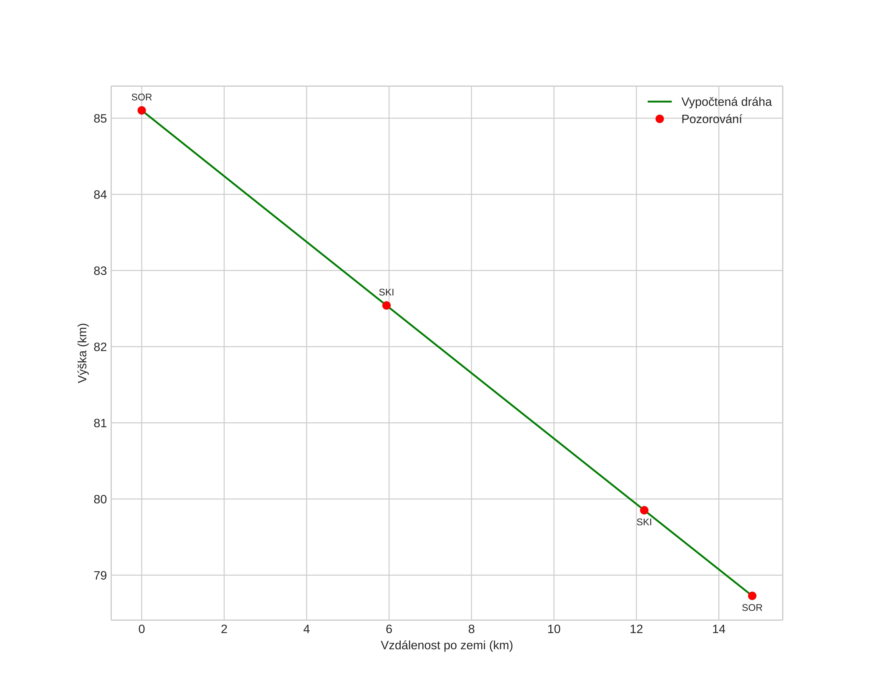
height profile
Atmosférická dráha meteoru:
Počáteční výška: 85,2 km
Konečná výška: 78,8 km
Počáteční poloha: 69,311N 17,931E
Konečná poloha: 69,388N 18,242E
Směr: 54,9°
Sklon: 23,3°
VstupnĂ­ rychlost: 14,9 km/s
Rektascenze radiantu: 01:41 (25,3°)
Deklinace radiantu: -3,8°
MeteorickĂ˝ roj: sporadickĂ˝
Elementy dráhy meteoroidu:
Vzdálenost v periheliu: 0,949 AU
Excentricita: 0,644
Sklon dráhy: 3,5°
Délka vzestupného uzlu: 152,8°
Argument perihelia: 333,7°
Střední anomálie: 4,5°
Epocha: 2022 FEB 21 18:02:38
orbit plot

NeinteraktivnĂ­ graf | InteraktivnĂ­ graf

position vs time
speed and acceleration