🇳🇴 🇬🇧 🇩🇪 🇨🇿 🇫🇮

Meteor Sørreisan yllä 2022-02-21 18:02:38 UTC

KML-tiedosto  |  Interaktiivinen kartta

Kartta näyttää meteorin suuntahavainnot. Vaaleammat viivat näyttävät suunnat havaintoasemilta meteorin ilmestyessä, ja tummemmat viivat näyttävät, missä se viimeksi nähtiin. Sininen nuoli näyttää meteorin näkyvän lennon.

static map
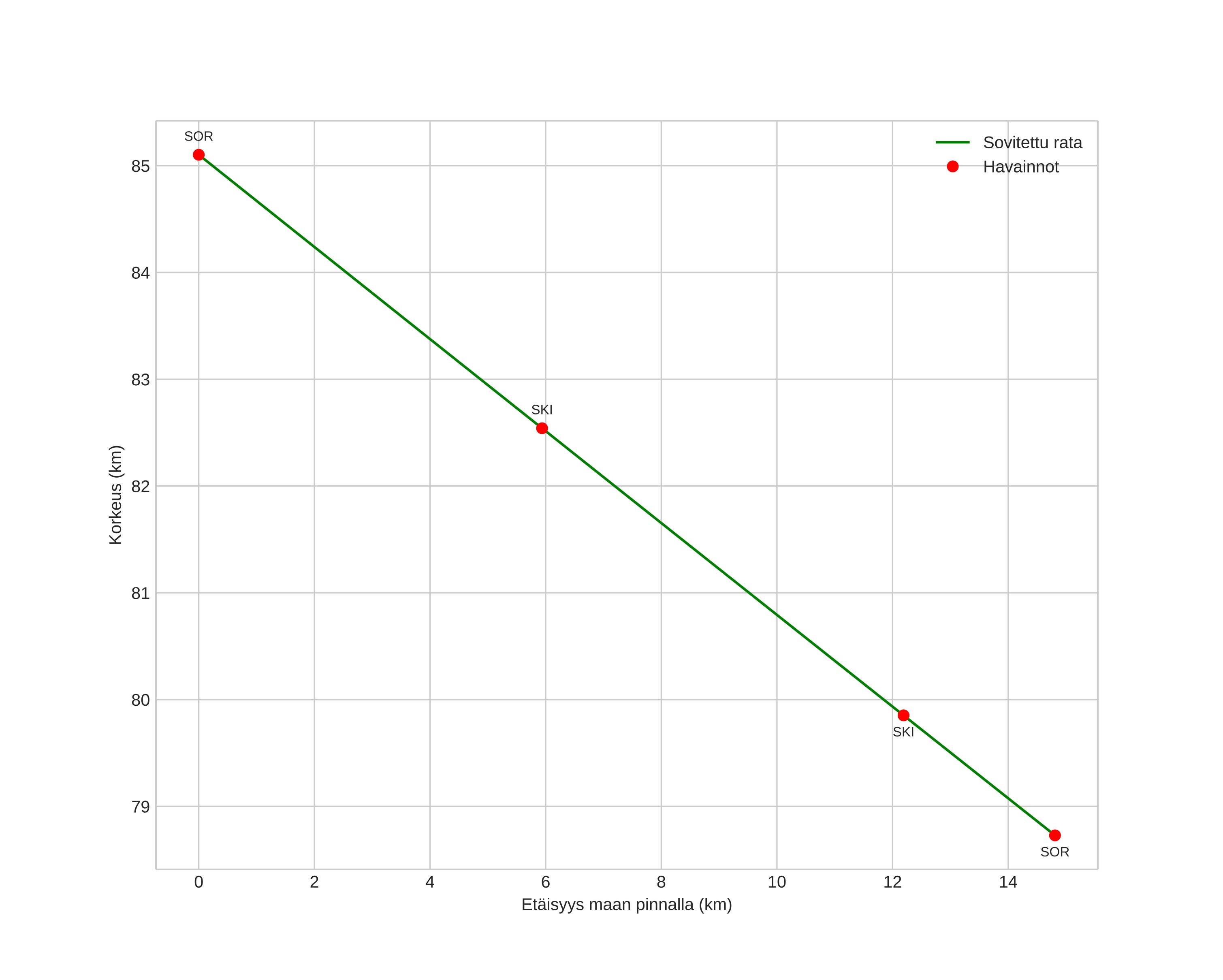
height profile
Meteorin ilmakehärata:
Alkukorkeus: 85,2 km
Loppukorkeus: 78,8 km
Alkupiste: 69,311N 17,931E
Loppupiste: 69,388N 18,242E
Suunta: 54,9°
Kallistuskulma: 23,3°
Tulonopeus: 14,9 km/s
Radiantin R,A,: 01:41 (25,3°)
Radiantin Dekl,: -3,8°
Meteoriparvi: Sporadinen
Meteoroidin rataelementit:
Perihelietäisyys: 0,949 AU
Eksentrisyys: 0,644
Inklinaatio: 3,5°
Nousevan solmun pituus: 152,8°
Perihelin argumentti: 333,7°
Keskianomalia: 4,5°
Epookki: 2022 FEB 21 18:02:38
orbit plot

Ei-interaktiivinen kuvaaja | Interaktiivinen kuvaaja

position vs time
speed and acceleration