🇳🇴 🇬🇧 🇩🇪 🇨🇿 🇫🇮

Meteor, poloha: Tonstad 2022-02-25 19:55:03 UTC

Soubor KML  |  InteraktivnĂ­ mapa

Mapa zobrazuje dráhy meteoru. Světlejší čáry ukazují směry od pozorovacích stanic při objevení se meteoru a tmavší čáry, kde byl naposledy viděn. Modrá šipka značí viditelnou dráhu meteoru.

static map
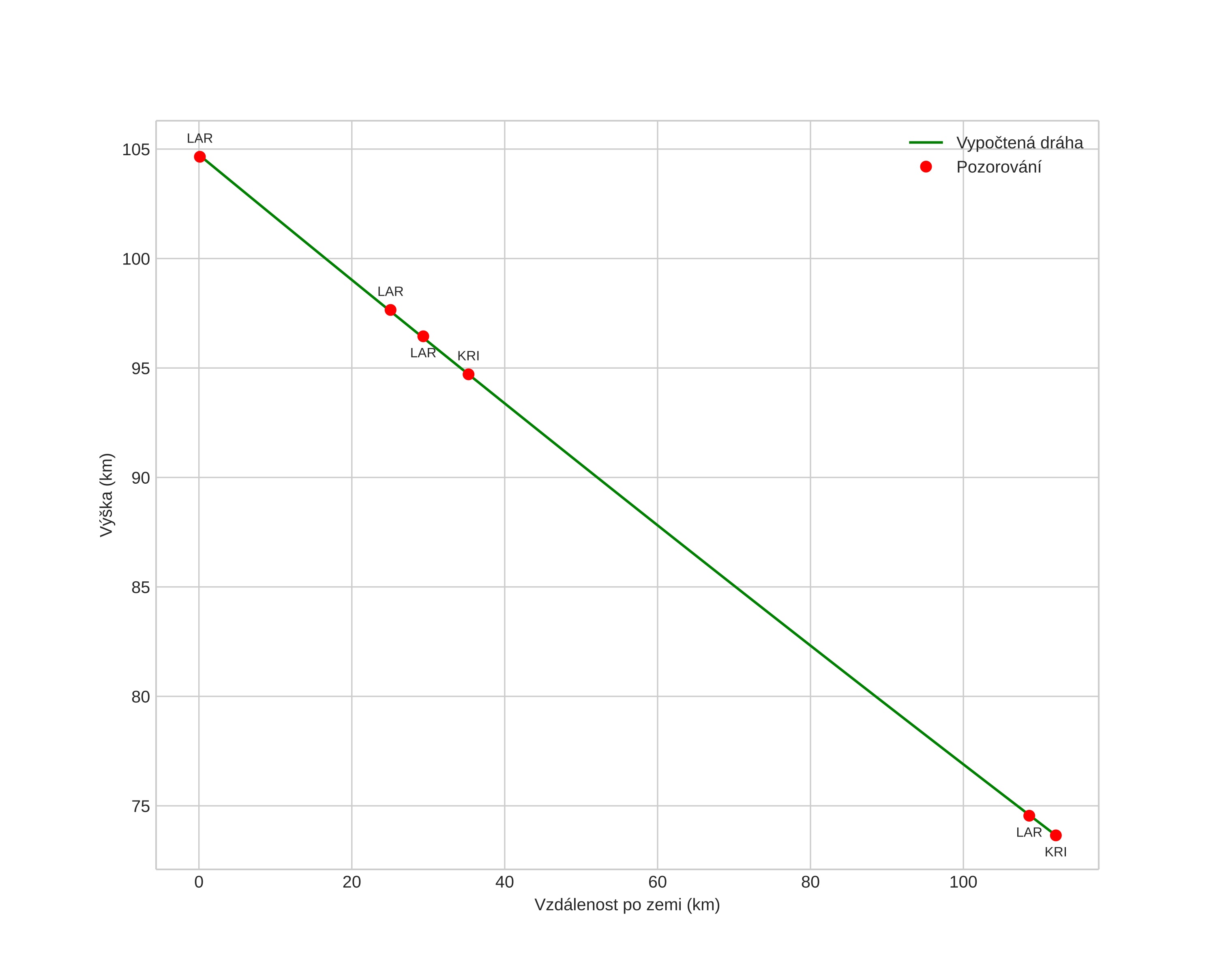
height profile
Atmosférická dráha meteoru:
Počáteční výška: 104,6 km
Konečná výška: 73,7 km
Počáteční poloha: 58,450N 8,834E
Konečná poloha: 58,718N 6,968E
Směr: 286,3°
Sklon: 15,4°
VstupnĂ­ rychlost: 35,3 km/s
Rektascenze radiantu: 11:28 (172,1°)
Deklinace radiantu: 3,0°
MeteorickĂ˝ roj: sporadickĂ˝
Elementy dráhy meteoroidu:
Vzdálenost v periheliu: 0,272 AU
Excentricita: 0,904
Sklon dráhy: 0,5°
Délka vzestupného uzlu: 157,0°
Argument perihelia: 121,8°
Střední anomálie: 352,0°
Epocha: 2022 FEB 25 19:55:03
orbit plot

NeinteraktivnĂ­ graf | InteraktivnĂ­ graf

position vs time
speed and acceleration