🇳🇴 🇬🇧 🇩🇪 🇨🇿 🇫🇮

Meteor, poloha: Arvika 2022-02-27 19:20:08 UTC

Soubor KML  |  InteraktivnĂ­ mapa

Mapa zobrazuje dráhy meteoru. Světlejší čáry ukazují směry od pozorovacích stanic při objevení se meteoru a tmavší čáry, kde byl naposledy viděn. Modrá šipka značí viditelnou dráhu meteoru.

static map
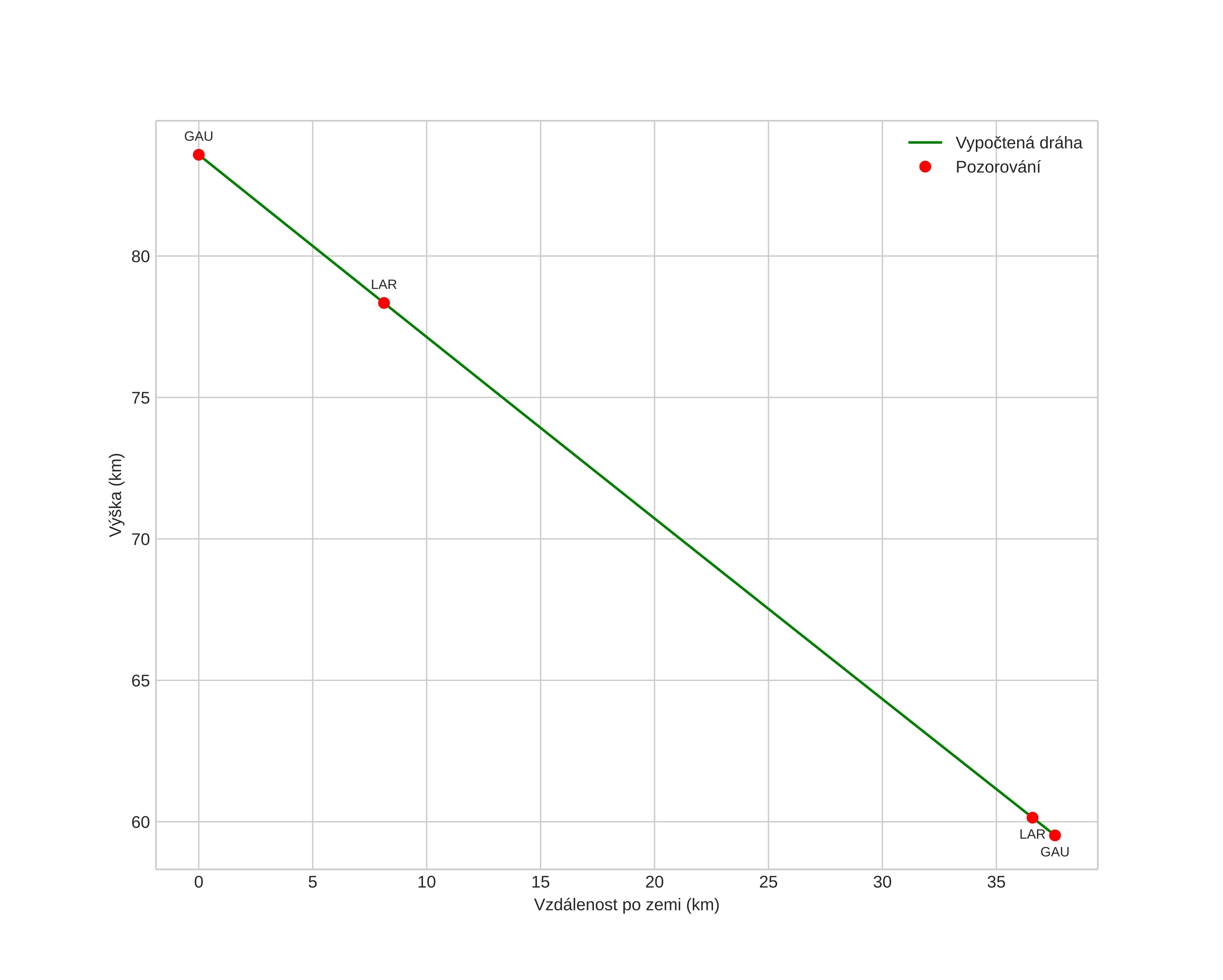
height profile
Atmosférická dráha meteoru:
Počáteční výška: 88,2 km
Konečná výška: 59,3 km
Počáteční poloha: 59,266N 13,117E
Konečná poloha: 59,494N 12,451E
Směr: 304,2°
Sklon: 32,5°
VstupnĂ­ rychlost: 21,4 km/s
Rektascenze radiantu: 09:50 (147,7°)
Deklinace radiantu: 8,3°
MeteorickĂ˝ roj: sporadickĂ˝
Elementy dráhy meteoroidu:
Vzdálenost v periheliu: 0,740 AU
Excentricita: 0,709
Sklon dráhy: 2,4°
Délka vzestupného uzlu: 158,9°
Argument perihelia: 66,9°
Střední anomálie: 350,1°
Epocha: 2022 FEB 27 19:20:08
orbit plot

NeinteraktivnĂ­ graf | InteraktivnĂ­ graf

position vs time
speed and acceleration