🇳🇴 🇬🇧 🇩🇪 🇨🇿 🇫🇮

Meteor Arvikan yllä 2022-02-27 19:20:08 UTC

KML-tiedosto  |  Interaktiivinen kartta

Kartta näyttää meteorin suuntahavainnot. Vaaleammat viivat näyttävät suunnat havaintoasemilta meteorin ilmestyessä, ja tummemmat viivat näyttävät, missä se viimeksi nähtiin. Sininen nuoli näyttää meteorin näkyvän lennon.

static map
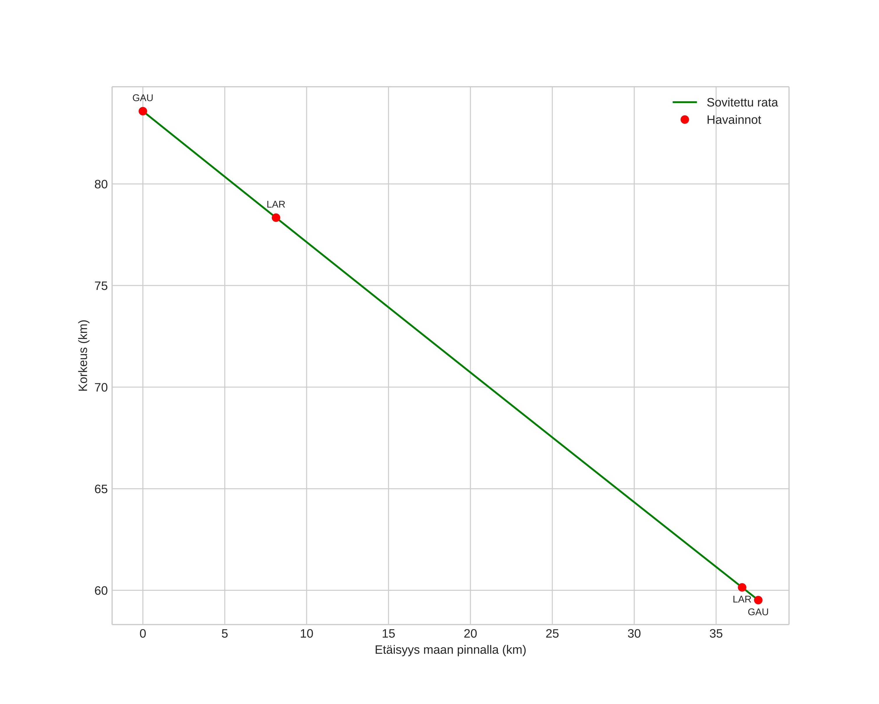
height profile
Meteorin ilmakehärata:
Alkukorkeus: 88,2 km
Loppukorkeus: 59,3 km
Alkupiste: 59,266N 13,117E
Loppupiste: 59,494N 12,451E
Suunta: 304,2°
Kallistuskulma: 32,5°
Tulonopeus: 21,4 km/s
Radiantin R,A,: 09:50 (147,7°)
Radiantin Dekl,: 8,3°
Meteoriparvi: Sporadinen
Meteoroidin rataelementit:
Perihelietäisyys: 0,740 AU
Eksentrisyys: 0,709
Inklinaatio: 2,4°
Nousevan solmun pituus: 158,9°
Perihelin argumentti: 66,9°
Keskianomalia: 350,1°
Epookki: 2022 FEB 27 19:20:08
orbit plot

Ei-interaktiivinen kuvaaja | Interaktiivinen kuvaaja

position vs time
speed and acceleration