🇳🇴 🇬🇧 🇩🇪 🇨🇿 🇫🇮

Meteor, poloha: Arvika 2022-03-03 00:16:21 UTC

Soubor KML  |  InteraktivnĂ­ mapa

Mapa zobrazuje dráhy meteoru. Světlejší čáry ukazují směry od pozorovacích stanic při objevení se meteoru a tmavší čáry, kde byl naposledy viděn. Modrá šipka značí viditelnou dráhu meteoru.

static map
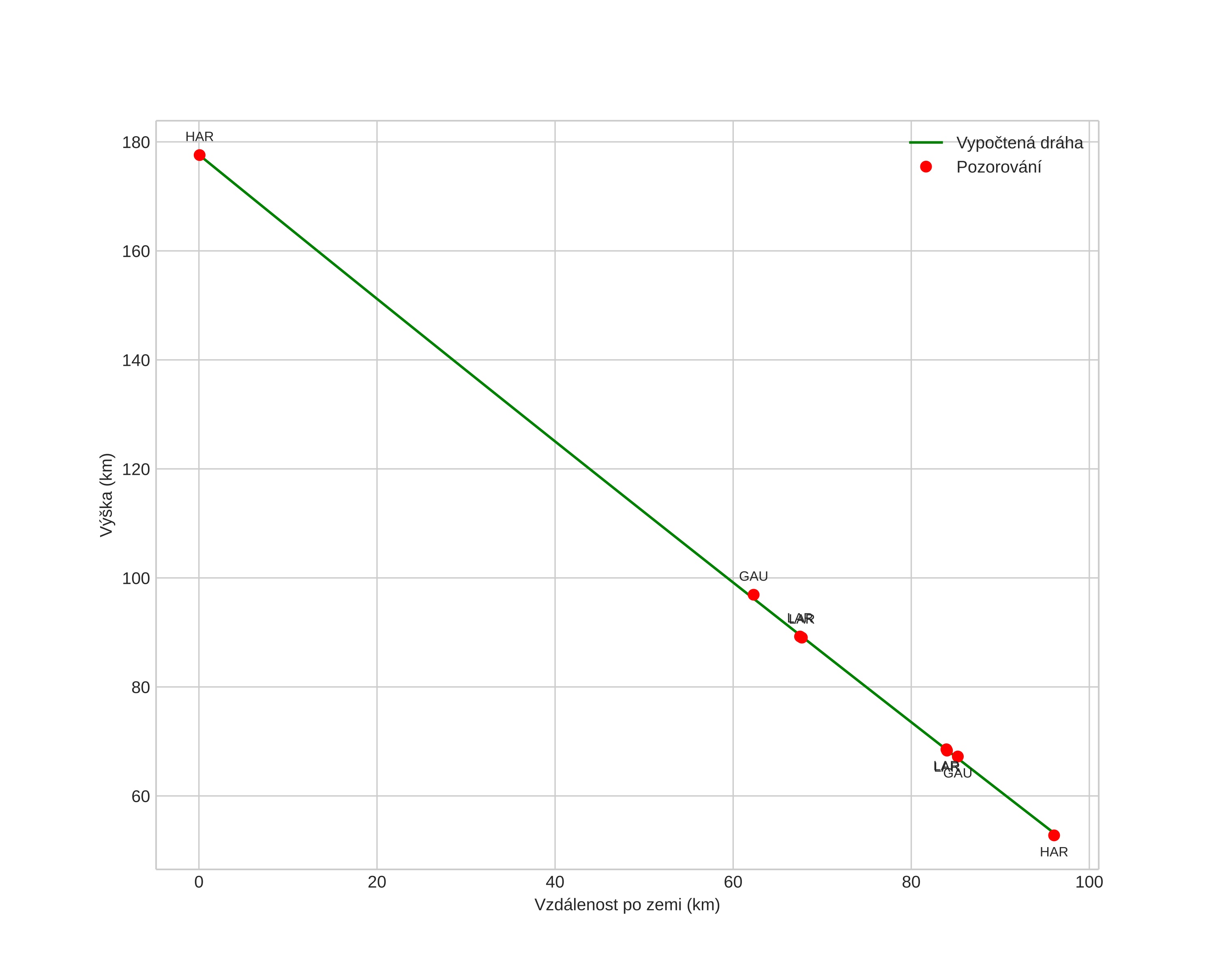
height profile
Atmosférická dráha meteoru:
Počáteční výška: 96,3 km
Konečná výška: 64,7 km
Počáteční poloha: 59,774N 12,983E
Konečná poloha: 59,598N 12,731E
Směr: 216,0°
Sklon: 52,6°
VstupnĂ­ rychlost: 24,8 km/s
Rektascenze radiantu: 18:25 (276,5°)
Deklinace radiantu: 68,2°
MeteorickĂ˝ roj: sporadickĂ˝
Elementy dráhy meteoroidu:
Vzdálenost v periheliu: 0,990 AU
Excentricita: 0,620
Sklon dráhy: 35,4°
Délka vzestupného uzlu: 342,1°
Argument perihelia: 175,7°
Střední anomálie: 0,8°
Epocha: 2022 MAR 03 00:16:21
orbit plot

NeinteraktivnĂ­ graf | InteraktivnĂ­ graf

position vs time
speed and acceleration