🇳🇴 🇬🇧 🇩🇪 🇨🇿 🇫🇮

Meteor Arvikan yllä 2022-03-03 00:16:21 UTC

KML-tiedosto  |  Interaktiivinen kartta

Kartta näyttää meteorin suuntahavainnot. Vaaleammat viivat näyttävät suunnat havaintoasemilta meteorin ilmestyessä, ja tummemmat viivat näyttävät, missä se viimeksi nähtiin. Sininen nuoli näyttää meteorin näkyvän lennon.

static map
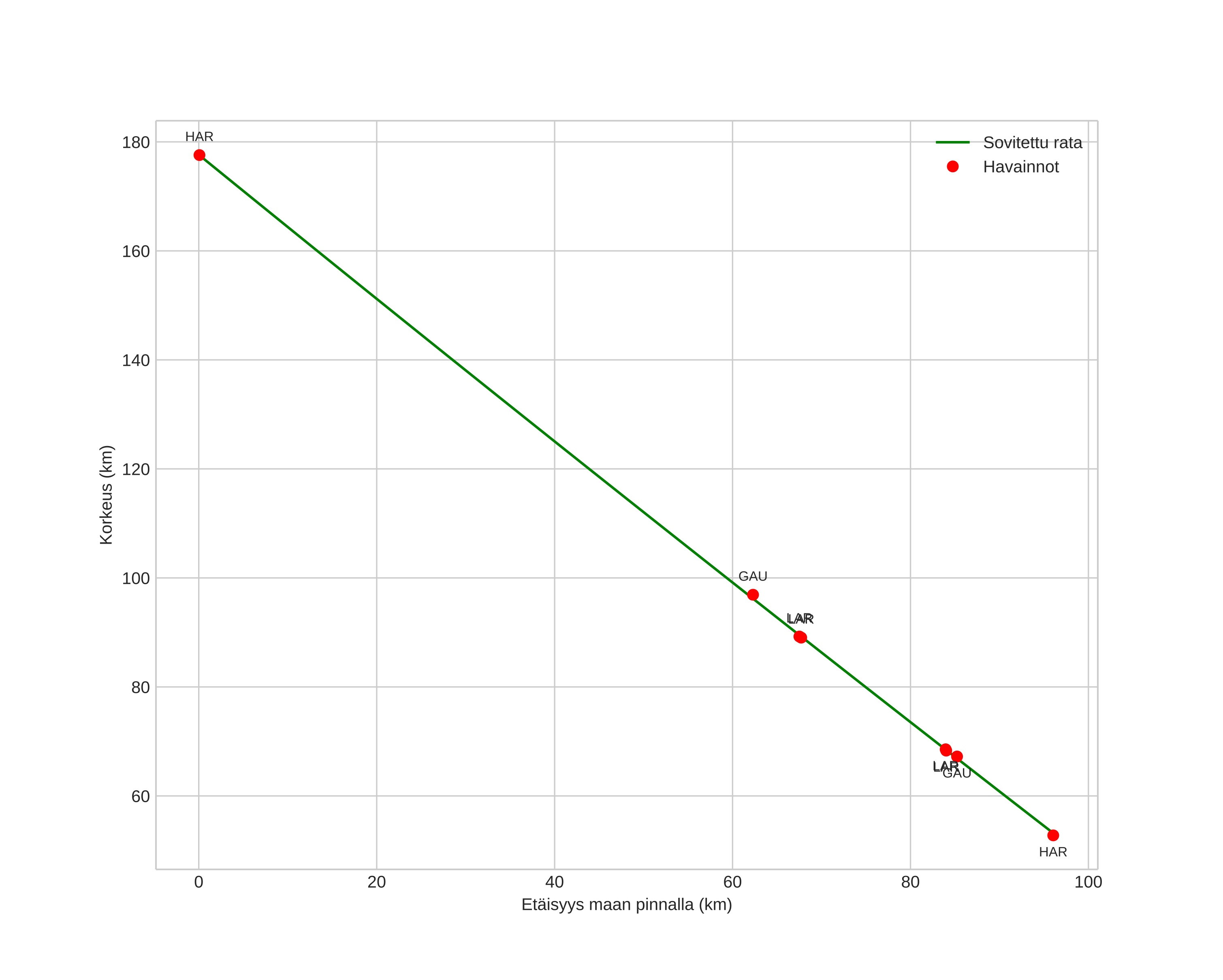
height profile
Meteorin ilmakehärata:
Alkukorkeus: 96,3 km
Loppukorkeus: 64,7 km
Alkupiste: 59,774N 12,983E
Loppupiste: 59,598N 12,731E
Suunta: 216,0°
Kallistuskulma: 52,6°
Tulonopeus: 24,8 km/s
Radiantin R,A,: 18:25 (276,5°)
Radiantin Dekl,: 68,2°
Meteoriparvi: Sporadinen
Meteoroidin rataelementit:
Perihelietäisyys: 0,990 AU
Eksentrisyys: 0,620
Inklinaatio: 35,4°
Nousevan solmun pituus: 342,1°
Perihelin argumentti: 175,7°
Keskianomalia: 0,8°
Epookki: 2022 MAR 03 00:16:21
orbit plot

Ei-interaktiivinen kuvaaja | Interaktiivinen kuvaaja

position vs time
speed and acceleration