🇳🇴 🇬🇧 🇩🇪 🇨🇿 🇫🇮

Meteor, poloha: Ă…mot 2022-03-03 02:27:25 UTC

Soubor KML  |  InteraktivnĂ­ mapa

Mapa zobrazuje dráhy meteoru. Světlejší čáry ukazují směry od pozorovacích stanic při objevení se meteoru a tmavší čáry, kde byl naposledy viděn. Modrá šipka značí viditelnou dráhu meteoru.

static map
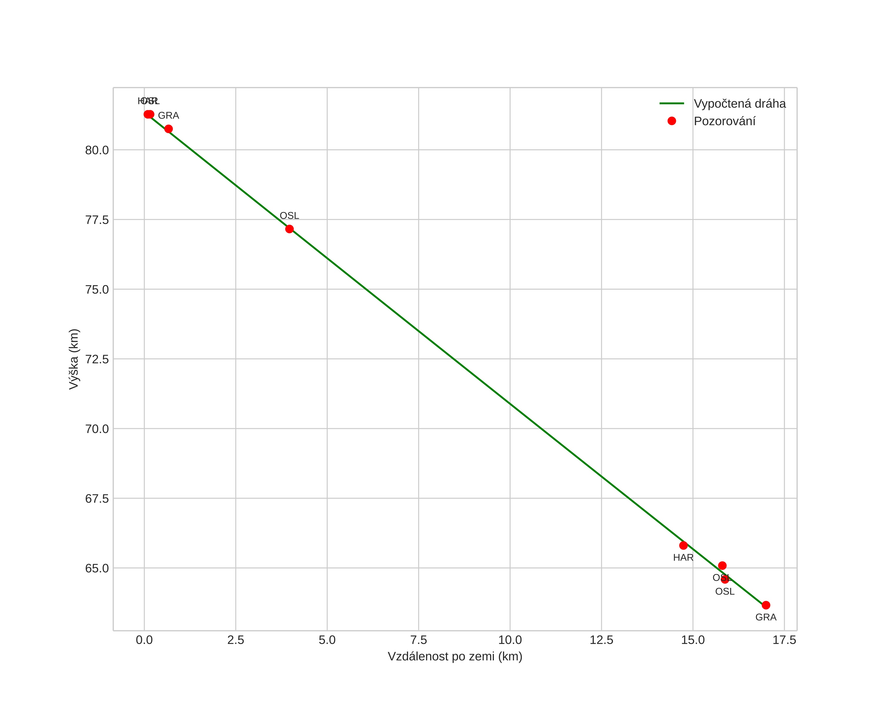
height profile
Atmosférická dráha meteoru:
Počáteční výška: 81,3 km
Konečná výška: 63,6 km
Počáteční poloha: 59,475N 7,572E
Konečná poloha: 59,604N 7,731E
Směr: 31,6°
Sklon: 46,2°
VstupnĂ­ rychlost: 26,9 km/s
Rektascenze radiantu: 12:05 (181,3°)
Deklinace radiantu: 16,7°
MeteorickĂ˝ roj: sporadickĂ˝
Elementy dráhy meteoroidu:
Vzdálenost v periheliu: 0,438 AU
Excentricita: 0,703
Sklon dráhy: 15,0°
Délka vzestupného uzlu: 342,2°
Argument perihelia: 290,6°
Střední anomálie: 333,4°
Epocha: 2022 MAR 03 02:27:25
orbit plot

NeinteraktivnĂ­ graf | InteraktivnĂ­ graf

position vs time
speed and acceleration

Harestua (HAR) cam1

gnomonic
Videa
Obrázky
• Původní
Textové soubory
• Detekce
• Pozorování
• Souřadnice
• Chybová hlášení
• Protokol
Jasnost