🇳🇴 🇬🇧 🇩🇪 🇨🇿 🇫🇮

Meteor Åmotin yllä 2022-03-03 02:27:25 UTC

KML-tiedosto  |  Interaktiivinen kartta

Kartta näyttää meteorin suuntahavainnot. Vaaleammat viivat näyttävät suunnat havaintoasemilta meteorin ilmestyessä, ja tummemmat viivat näyttävät, missä se viimeksi nähtiin. Sininen nuoli näyttää meteorin näkyvän lennon.

static map
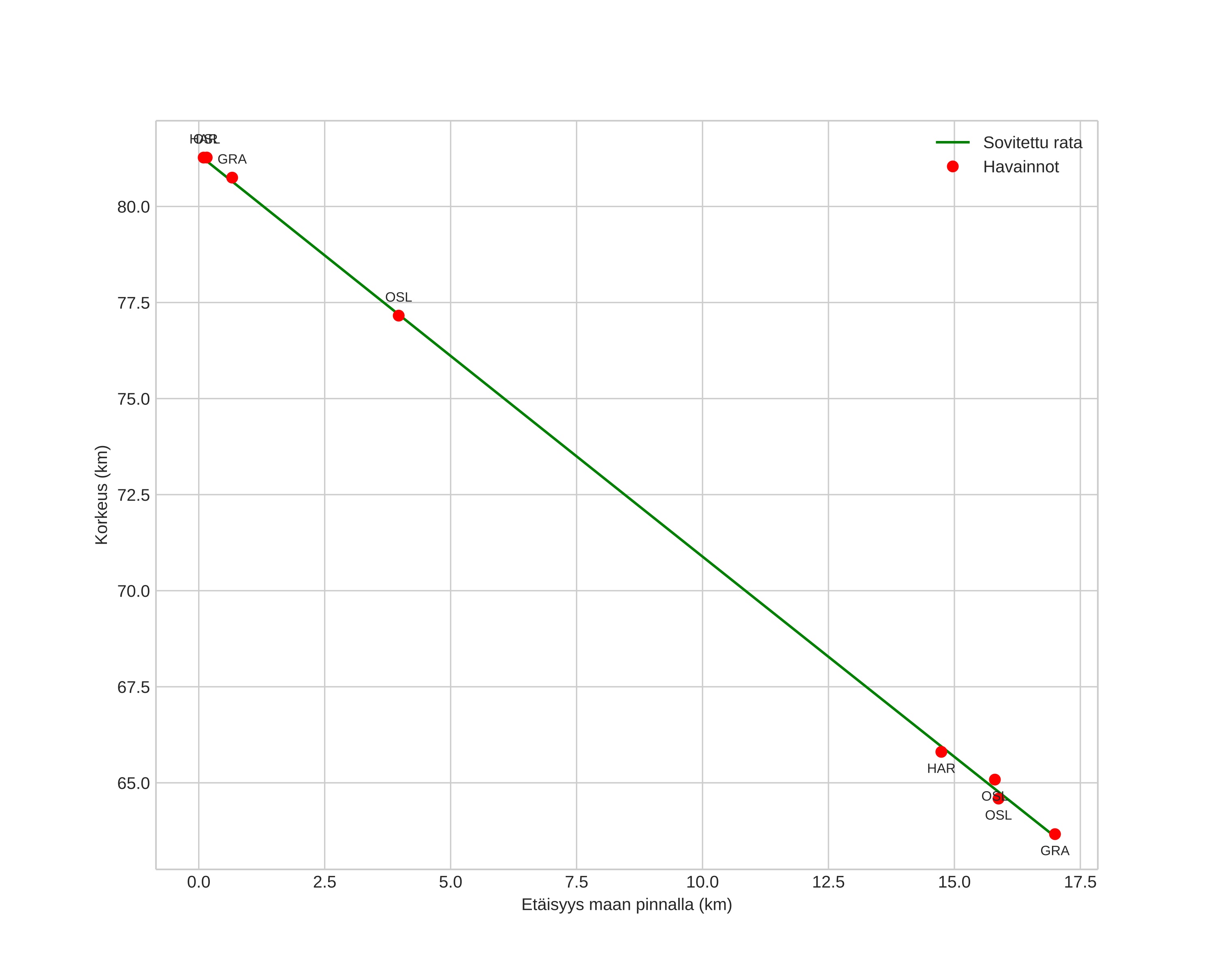
height profile
Meteorin ilmakehärata:
Alkukorkeus: 81,3 km
Loppukorkeus: 63,6 km
Alkupiste: 59,475N 7,572E
Loppupiste: 59,604N 7,731E
Suunta: 31,6°
Kallistuskulma: 46,2°
Tulonopeus: 26,9 km/s
Radiantin R,A,: 12:05 (181,3°)
Radiantin Dekl,: 16,7°
Meteoriparvi: Sporadinen
Meteoroidin rataelementit:
Perihelietäisyys: 0,438 AU
Eksentrisyys: 0,703
Inklinaatio: 15,0°
Nousevan solmun pituus: 342,2°
Perihelin argumentti: 290,6°
Keskianomalia: 333,4°
Epookki: 2022 MAR 03 02:27:25
orbit plot

Ei-interaktiivinen kuvaaja | Interaktiivinen kuvaaja

position vs time
speed and acceleration

Harestua (HAR) cam1

gnomonic
Videot:
Kuvat:
• Alkuperäinen
Tekstitiedostot:
• Havaintoraportti
• Observaatio
• Koordinaatit
• Virheilmoitukset
• Loki
Kirkkaus