🇳🇴 🇬🇧 🇩🇪 🇨🇿 🇫🇮

Meteor, poloha: Juelsminde 2022-03-04 01:18:04 UTC

Soubor KML  |  InteraktivnĂ­ mapa

Mapa zobrazuje dráhy meteoru. Světlejší čáry ukazují směry od pozorovacích stanic při objevení se meteoru a tmavší čáry, kde byl naposledy viděn. Modrá šipka značí viditelnou dráhu meteoru.

static map
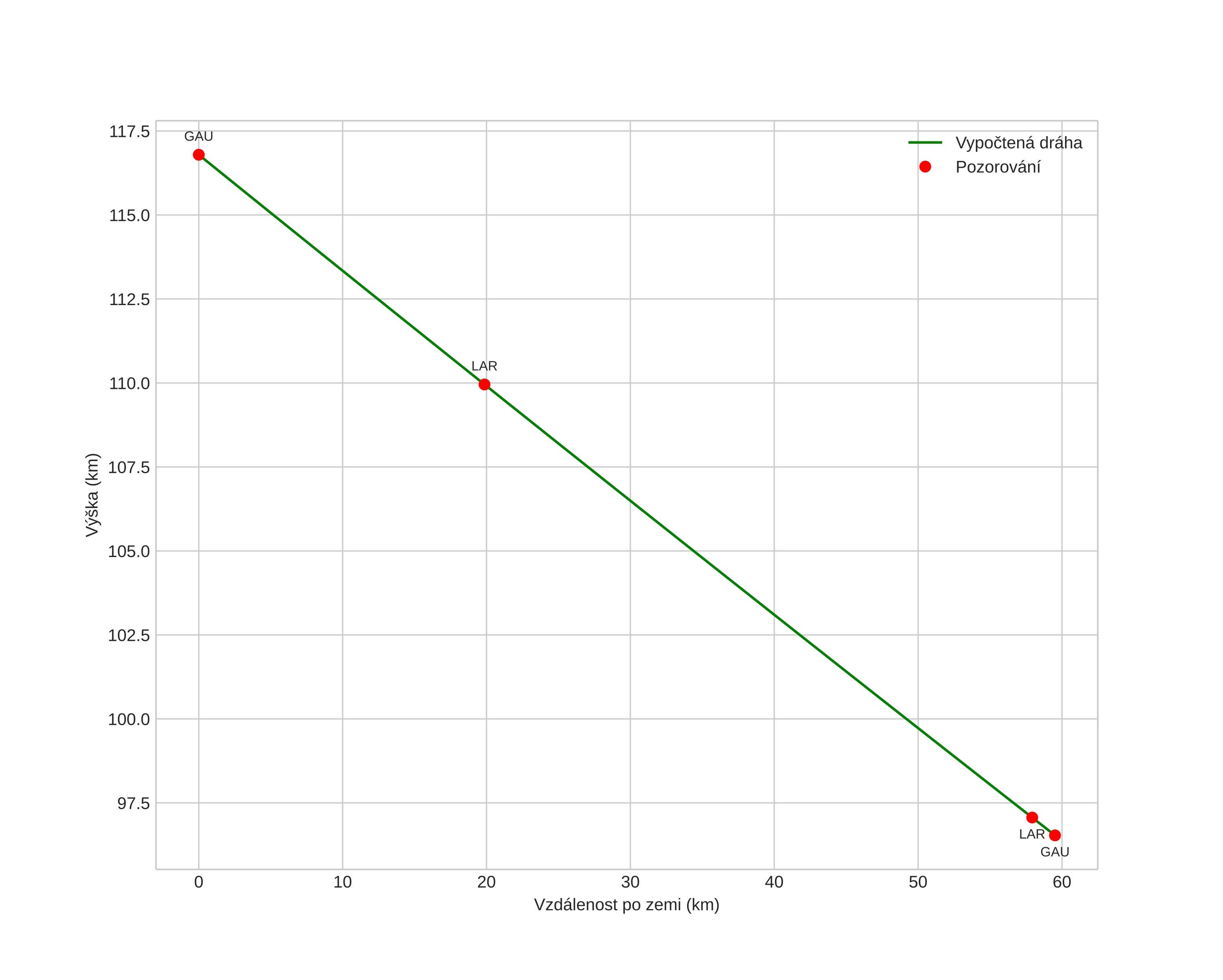
height profile
Atmosférická dráha meteoru:
Počáteční výška: 116,8 km
Konečná výška: 96,6 km
Počáteční poloha: 55,503N 10,900E
Konečná poloha: 55,799N 10,105E
Směr: 303,8°
Sklon: 18,7°
VstupnĂ­ rychlost: 73,0 km/s
Rektascenze radiantu: 16:15 (243,9°)
Deklinace radiantu: -2,4°
MeteorickĂ˝ roj: sporadickĂ˝
Elementy dráhy meteoroidu:
Vzdálenost v periheliu: 0,925 AU
Excentricita: 1,259
Sklon dráhy: 148,2°
Délka vzestupného uzlu: 343,1°
Argument perihelia: 208,3°
Střední anomálie: -2,6°
Epocha: 2022 MAR 04 01:18:04
orbit plot

NeinteraktivnĂ­ graf | InteraktivnĂ­ graf

position vs time
speed and acceleration