🇳🇴 🇬🇧 🇩🇪 🇨🇿 🇫🇮

Meteor Juelsminden yllä 2022-03-04 01:18:04 UTC

KML-tiedosto  |  Interaktiivinen kartta

Kartta näyttää meteorin suuntahavainnot. Vaaleammat viivat näyttävät suunnat havaintoasemilta meteorin ilmestyessä, ja tummemmat viivat näyttävät, missä se viimeksi nähtiin. Sininen nuoli näyttää meteorin näkyvän lennon.

static map
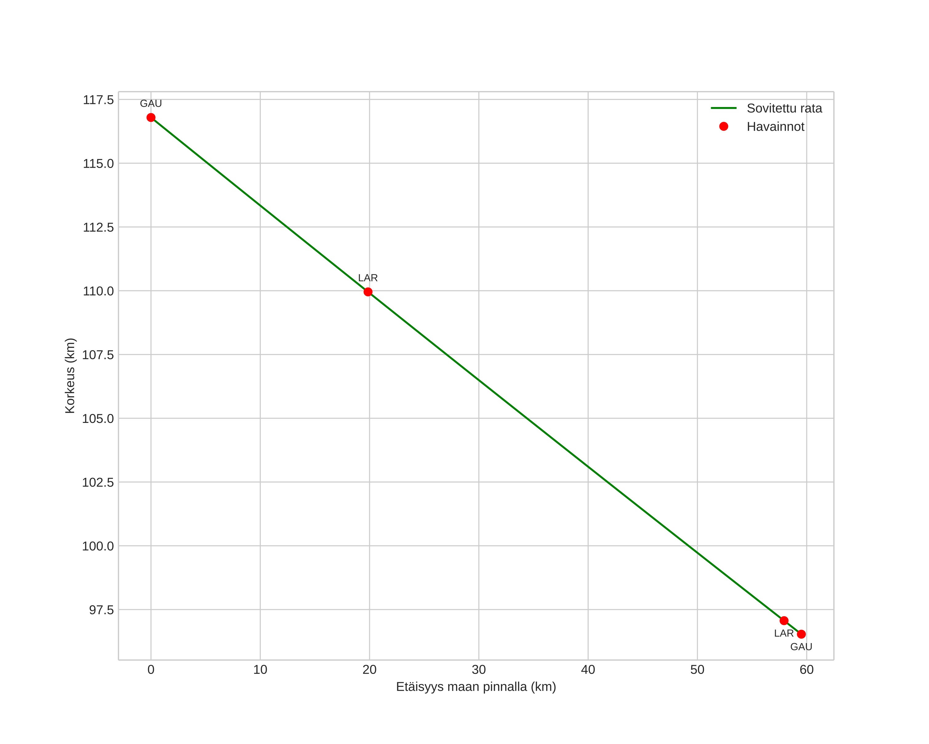
height profile
Meteorin ilmakehärata:
Alkukorkeus: 116,8 km
Loppukorkeus: 96,6 km
Alkupiste: 55,503N 10,900E
Loppupiste: 55,799N 10,105E
Suunta: 303,8°
Kallistuskulma: 18,7°
Tulonopeus: 73,0 km/s
Radiantin R,A,: 16:15 (243,9°)
Radiantin Dekl,: -2,4°
Meteoriparvi: Sporadinen
Meteoroidin rataelementit:
Perihelietäisyys: 0,925 AU
Eksentrisyys: 1,259
Inklinaatio: 148,2°
Nousevan solmun pituus: 343,1°
Perihelin argumentti: 208,3°
Keskianomalia: -2,6°
Epookki: 2022 MAR 04 01:18:04
orbit plot

Ei-interaktiivinen kuvaaja | Interaktiivinen kuvaaja

position vs time
speed and acceleration