🇳🇴 🇬🇧 🇩🇪 🇨🇿 🇫🇮

Meteor, poloha: Vigeland 2022-03-04 01:34:48 UTC

Soubor KML  |  InteraktivnĂ­ mapa

Mapa zobrazuje dráhy meteoru. Světlejší čáry ukazují směry od pozorovacích stanic při objevení se meteoru a tmavší čáry, kde byl naposledy viděn. Modrá šipka značí viditelnou dráhu meteoru.

static map
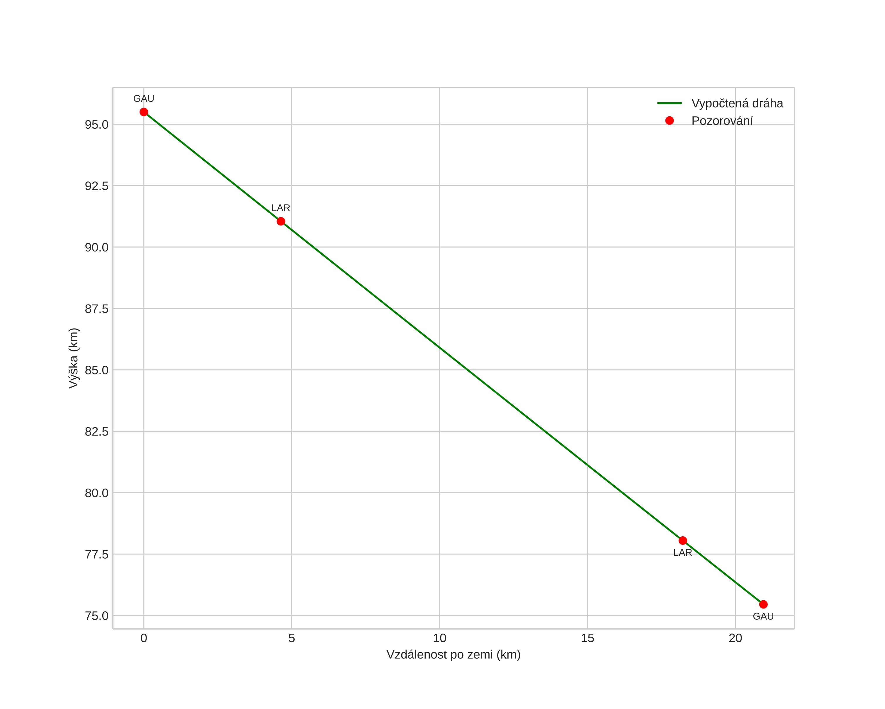
height profile
Atmosférická dráha meteoru:
Počáteční výška: 95,6 km
Konečná výška: 74,7 km
Počáteční poloha: 57,422N 6,880E
Konečná poloha: 57,595N 7,094E
Směr: 33,4°
Sklon: 42,2°
VstupnĂ­ rychlost: 30,0 km/s
Rektascenze radiantu: 11:04 (166,2°)
Deklinace radiantu: 11,7°
MeteorickĂ˝ roj: sporadickĂ˝
Elementy dráhy meteoroidu:
Vzdálenost v periheliu: 0,529 AU
Excentricita: 0,930
Sklon dráhy: 4,9°
Délka vzestupného uzlu: 343,1°
Argument perihelia: 268,2°
Střední anomálie: 358,1°
Epocha: 2022 MAR 04 01:34:48
orbit plot

NeinteraktivnĂ­ graf | InteraktivnĂ­ graf

position vs time
speed and acceleration