🇳🇴 🇬🇧 🇩🇪 🇨🇿 🇫🇮

Meteor Vigelandin yllä 2022-03-04 01:34:48 UTC

KML-tiedosto  |  Interaktiivinen kartta

Kartta näyttää meteorin suuntahavainnot. Vaaleammat viivat näyttävät suunnat havaintoasemilta meteorin ilmestyessä, ja tummemmat viivat näyttävät, missä se viimeksi nähtiin. Sininen nuoli näyttää meteorin näkyvän lennon.

static map
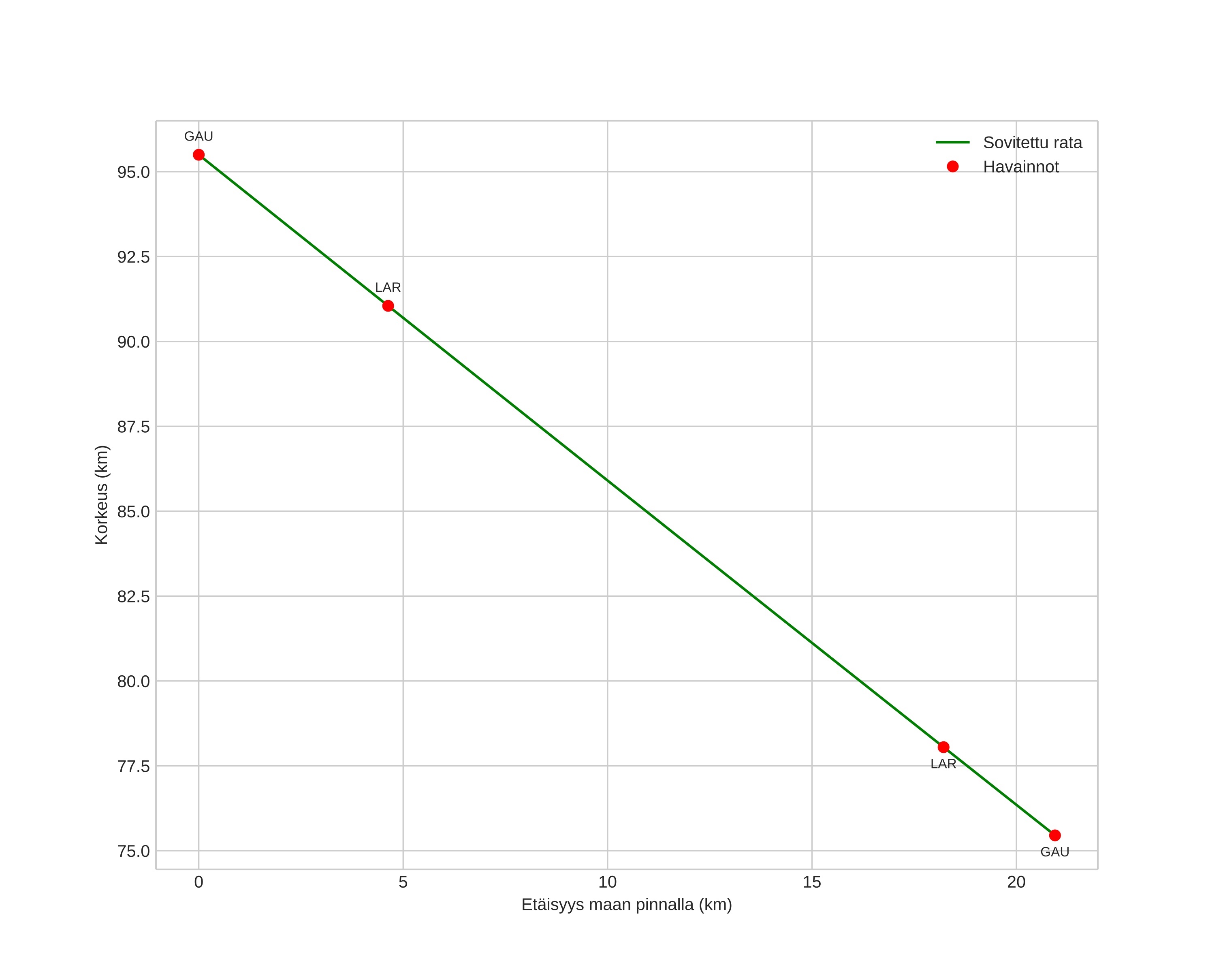
height profile
Meteorin ilmakehärata:
Alkukorkeus: 95,6 km
Loppukorkeus: 74,7 km
Alkupiste: 57,422N 6,880E
Loppupiste: 57,595N 7,094E
Suunta: 33,4°
Kallistuskulma: 42,2°
Tulonopeus: 30,0 km/s
Radiantin R,A,: 11:04 (166,2°)
Radiantin Dekl,: 11,7°
Meteoriparvi: Sporadinen
Meteoroidin rataelementit:
Perihelietäisyys: 0,529 AU
Eksentrisyys: 0,930
Inklinaatio: 4,9°
Nousevan solmun pituus: 343,1°
Perihelin argumentti: 268,2°
Keskianomalia: 358,1°
Epookki: 2022 MAR 04 01:34:48
orbit plot

Ei-interaktiivinen kuvaaja | Interaktiivinen kuvaaja

position vs time
speed and acceleration