🇳🇴 🇬🇧 🇩🇪 🇨🇿 🇫🇮

Meteor, poloha: Myre 2022-03-06 18:28:52 UTC

Soubor KML  |  InteraktivnĂ­ mapa

Mapa zobrazuje dráhy meteoru. Světlejší čáry ukazují směry od pozorovacích stanic při objevení se meteoru a tmavší čáry, kde byl naposledy viděn. Modrá šipka značí viditelnou dráhu meteoru.

static map
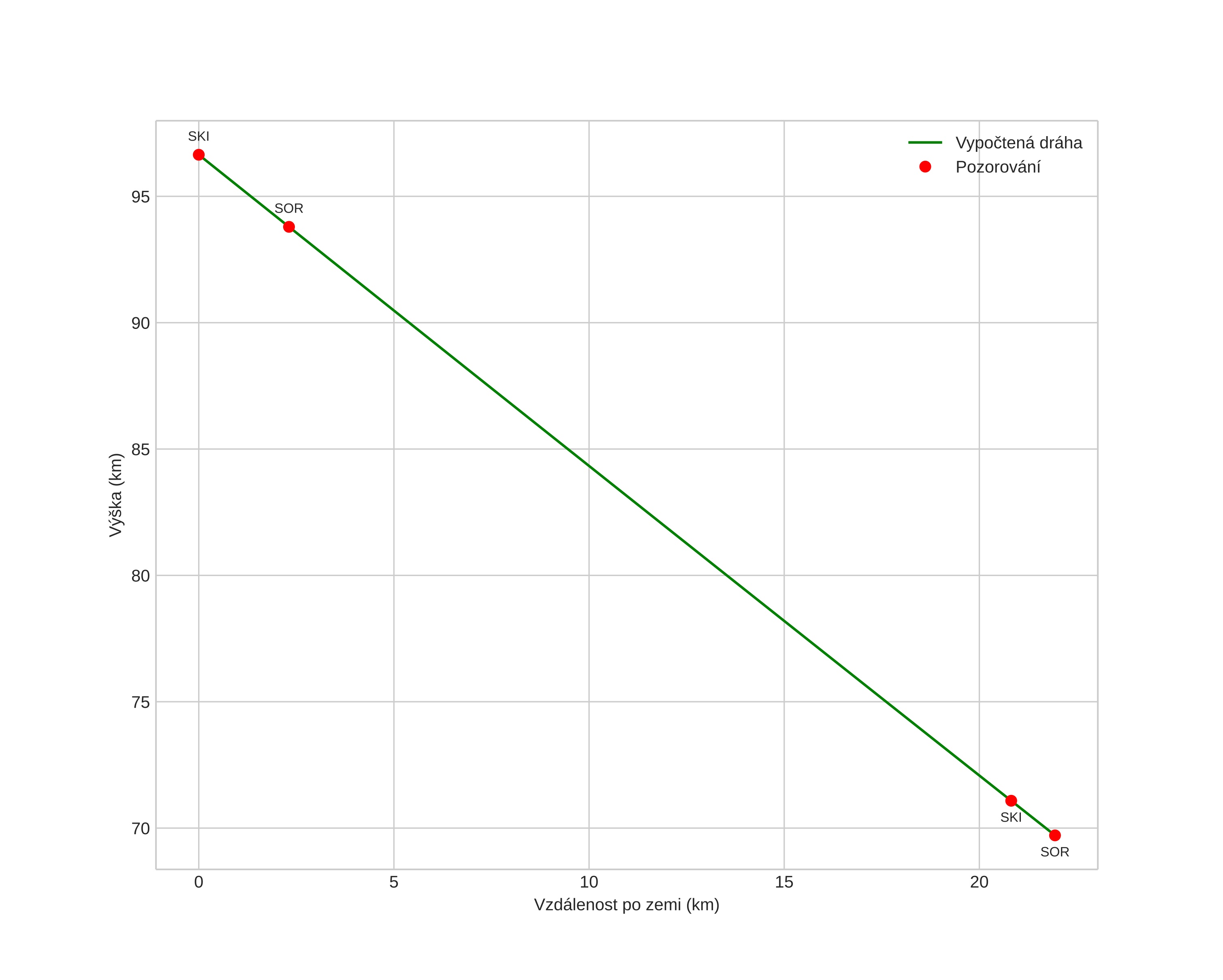
height profile
Atmosférická dráha meteoru:
Počáteční výška: 94,4 km
Konečná výška: 68,6 km
Počáteční poloha: 70,673N 14,493E
Konečná poloha: 70,481N 14,684E
Směr: 161,5°
Sklon: 48,9°
VstupnĂ­ rychlost: 28,8 km/s
Rektascenze radiantu: 20:29 (307,3°)
Deklinace radiantu: 64,8°
MeteorickĂ˝ roj: sporadickĂ˝
Elementy dráhy meteoroidu:
Vzdálenost v periheliu: 0,967 AU
Excentricita: 1,006
Sklon dráhy: 38,0°
Délka vzestupného uzlu: 345,9°
Argument perihelia: 161,6°
Střední anomálie: 0,0°
Epocha: 2022 MAR 06 18:28:52
orbit plot

NeinteraktivnĂ­ graf | InteraktivnĂ­ graf

position vs time
speed and acceleration