🇳🇴 🇬🇧 🇩🇪 🇨🇿 🇫🇮

Meteor Myren yllä 2022-03-06 18:28:52 UTC

KML-tiedosto  |  Interaktiivinen kartta

Kartta näyttää meteorin suuntahavainnot. Vaaleammat viivat näyttävät suunnat havaintoasemilta meteorin ilmestyessä, ja tummemmat viivat näyttävät, missä se viimeksi nähtiin. Sininen nuoli näyttää meteorin näkyvän lennon.

static map
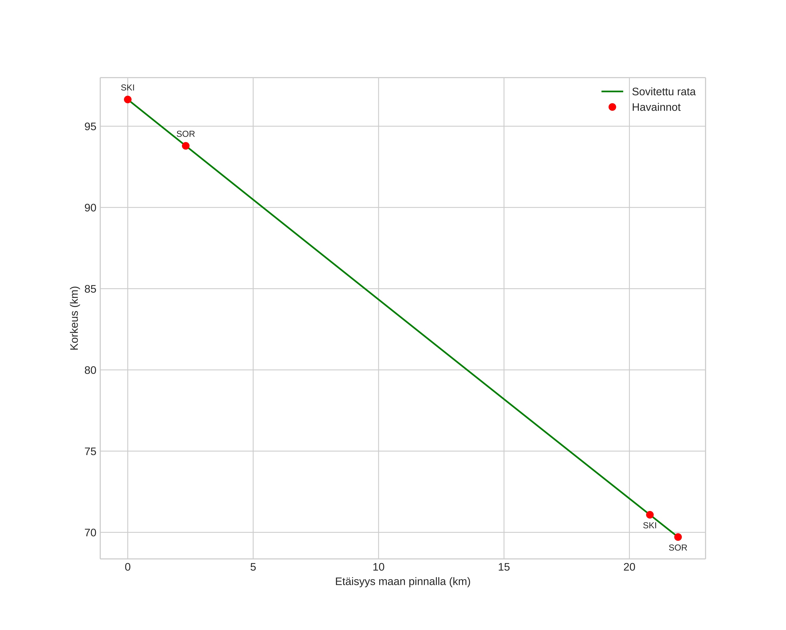
height profile
Meteorin ilmakehärata:
Alkukorkeus: 94,4 km
Loppukorkeus: 68,6 km
Alkupiste: 70,673N 14,493E
Loppupiste: 70,481N 14,684E
Suunta: 161,5°
Kallistuskulma: 48,9°
Tulonopeus: 28,8 km/s
Radiantin R,A,: 20:29 (307,3°)
Radiantin Dekl,: 64,8°
Meteoriparvi: Sporadinen
Meteoroidin rataelementit:
Perihelietäisyys: 0,967 AU
Eksentrisyys: 1,006
Inklinaatio: 38,0°
Nousevan solmun pituus: 345,9°
Perihelin argumentti: 161,6°
Keskianomalia: 0,0°
Epookki: 2022 MAR 06 18:28:52
orbit plot

Ei-interaktiivinen kuvaaja | Interaktiivinen kuvaaja

position vs time
speed and acceleration