🇳🇴 🇬🇧 🇩🇪 🇨🇿 🇫🇮

Meteor, poloha: Elling 2022-03-08 00:45:26 UTC

Soubor KML  |  InteraktivnĂ­ mapa

Mapa zobrazuje dráhy meteoru. Světlejší čáry ukazují směry od pozorovacích stanic při objevení se meteoru a tmavší čáry, kde byl naposledy viděn. Modrá šipka značí viditelnou dráhu meteoru.

static map
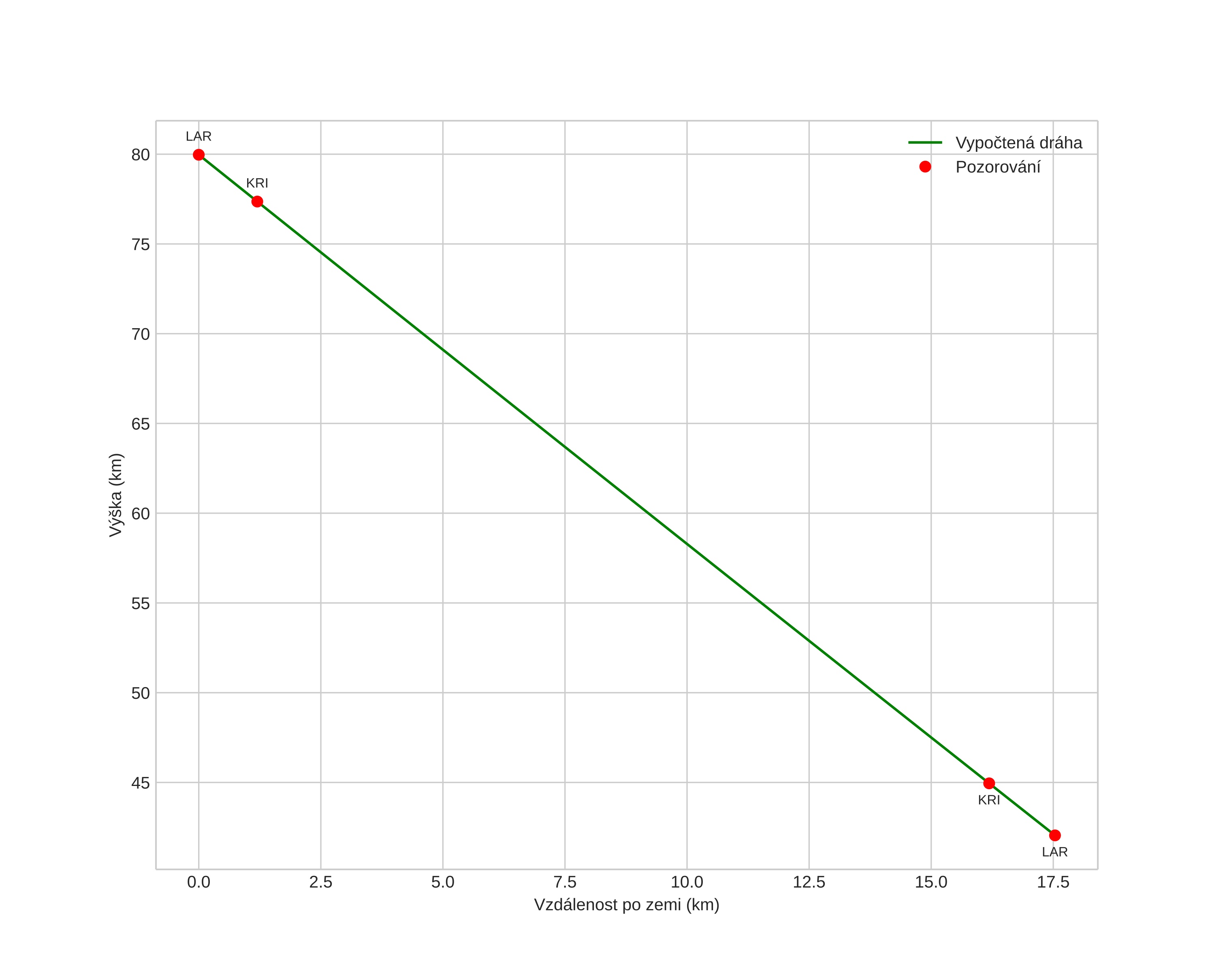
height profile
Atmosférická dráha meteoru:
Počáteční výška: 80,0 km
Konečná výška: 42,1 km
Počáteční poloha: 57,466N 10,163E
Konečná poloha: 57,381N 10,409E
Směr: 122,8°
Sklon: 65,2°
VstupnĂ­ rychlost: 15,2 km/s
Rektascenze radiantu: 08:24 (126,1°)
Deklinace radiantu: 60,4°
MeteorickĂ˝ roj: sporadickĂ˝
Elementy dráhy meteoroidu:
Vzdálenost v periheliu: 0,975 AU
Excentricita: 0,578
Sklon dráhy: 10,4°
Délka vzestupného uzlu: 347,1°
Argument perihelia: 197,6°
Střední anomálie: 356,1°
Epocha: 2022 MAR 08 00:45:26
orbit plot

NeinteraktivnĂ­ graf | InteraktivnĂ­ graf

position vs time
speed and acceleration