🇳🇴 🇬🇧 🇩🇪 🇨🇿 🇫🇮

Meteor Ellingin yllä 2022-03-08 00:45:26 UTC

KML-tiedosto  |  Interaktiivinen kartta

Kartta näyttää meteorin suuntahavainnot. Vaaleammat viivat näyttävät suunnat havaintoasemilta meteorin ilmestyessä, ja tummemmat viivat näyttävät, missä se viimeksi nähtiin. Sininen nuoli näyttää meteorin näkyvän lennon.

static map
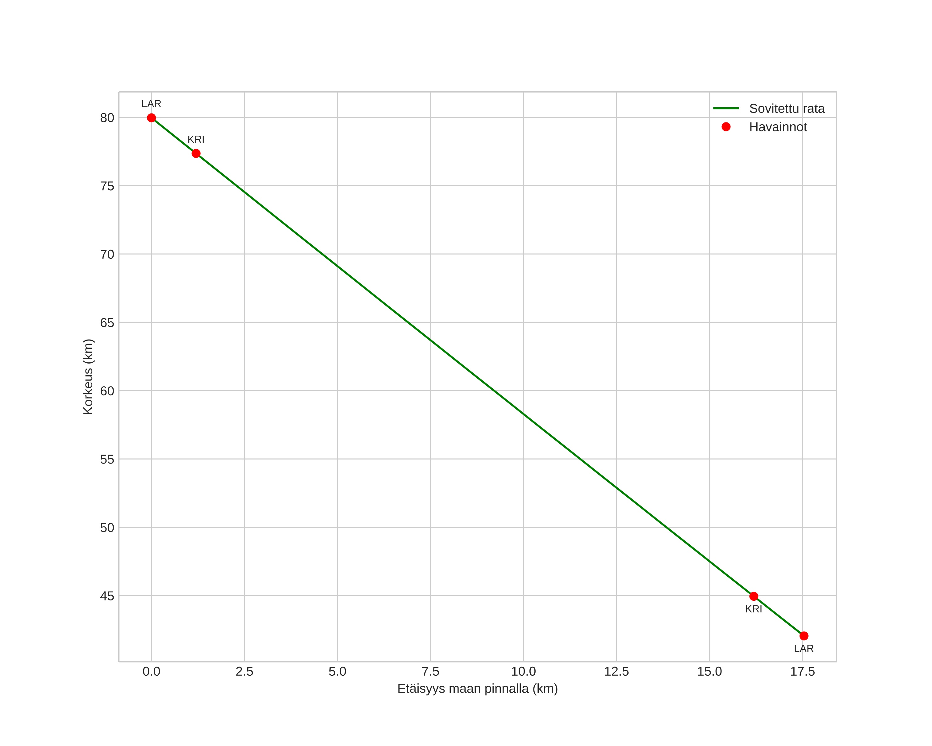
height profile
Meteorin ilmakehärata:
Alkukorkeus: 80,0 km
Loppukorkeus: 42,1 km
Alkupiste: 57,466N 10,163E
Loppupiste: 57,381N 10,409E
Suunta: 122,8°
Kallistuskulma: 65,2°
Tulonopeus: 15,2 km/s
Radiantin R,A,: 08:24 (126,1°)
Radiantin Dekl,: 60,4°
Meteoriparvi: Sporadinen
Meteoroidin rataelementit:
Perihelietäisyys: 0,975 AU
Eksentrisyys: 0,578
Inklinaatio: 10,4°
Nousevan solmun pituus: 347,1°
Perihelin argumentti: 197,6°
Keskianomalia: 356,1°
Epookki: 2022 MAR 08 00:45:26
orbit plot

Ei-interaktiivinen kuvaaja | Interaktiivinen kuvaaja

position vs time
speed and acceleration