🇳🇴 🇬🇧 🇩🇪 🇨🇿 🇫🇮

Meteor, poloha: Tjuvkil 2022-03-08 01:37:56 UTC

Soubor KML  |  InteraktivnĂ­ mapa

Mapa zobrazuje dráhy meteoru. Světlejší čáry ukazují směry od pozorovacích stanic při objevení se meteoru a tmavší čáry, kde byl naposledy viděn. Modrá šipka značí viditelnou dráhu meteoru.

static map
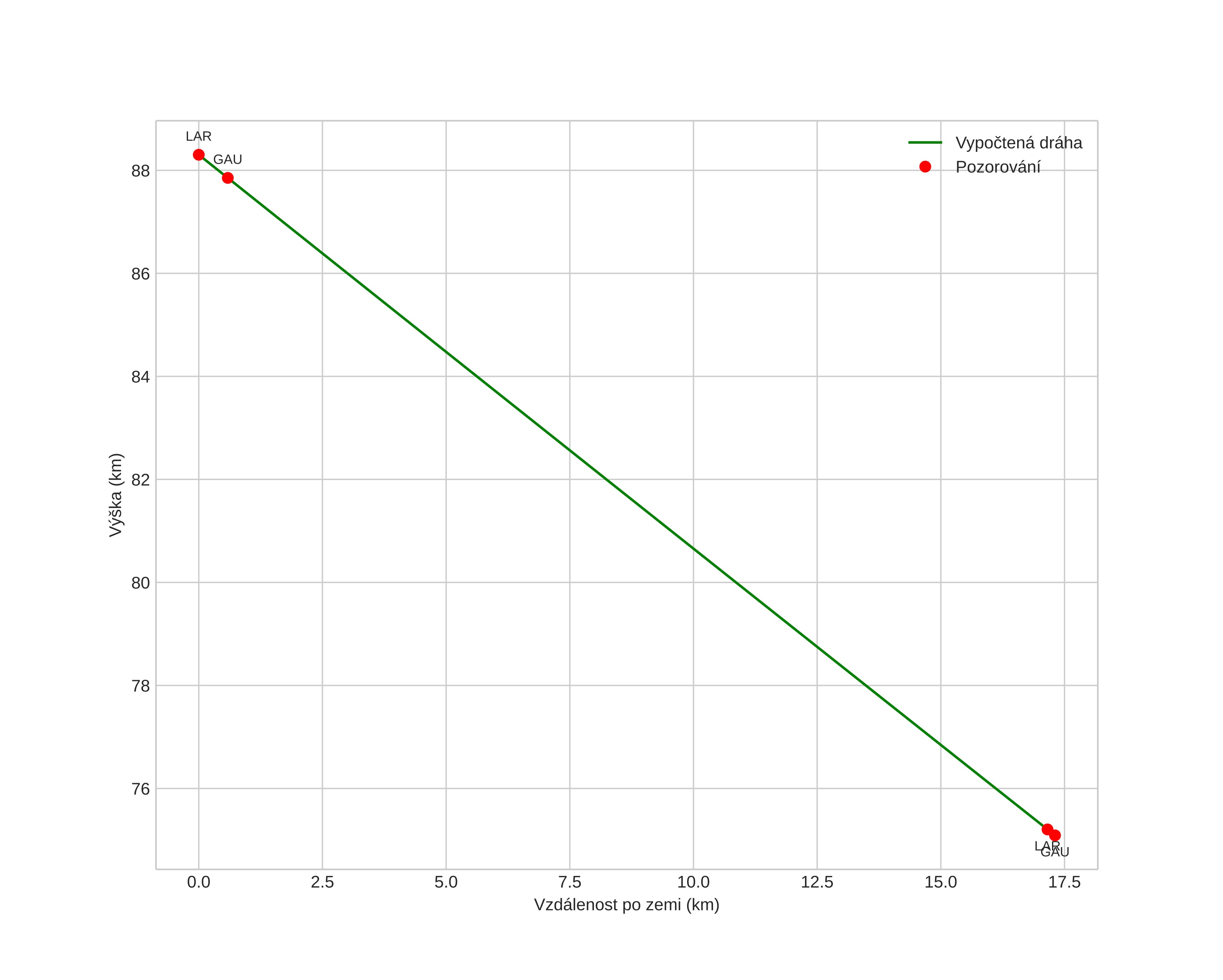
height profile
Atmosférická dráha meteoru:
Počáteční výška: 88,4 km
Konečná výška: 75,2 km
Počáteční poloha: 58,032N 11,738E
Konečná poloha: 57,877N 11,776E
Směr: 172,5°
Sklon: 37,3°
VstupnĂ­ rychlost: 18,9 km/s
Rektascenze radiantu: 02:29 (37,3°)
Deklinace radiantu: 62,6°
MeteorickĂ˝ roj: sporadickĂ˝
Elementy dráhy meteoroidu:
Vzdálenost v periheliu: 0,984 AU
Excentricita: 0,969
Sklon dráhy: 14,9°
Délka vzestupného uzlu: 347,2°
Argument perihelia: 169,3°
Střední anomálie: 0,0°
Epocha: 2022 MAR 08 01:37:56
orbit plot

NeinteraktivnĂ­ graf | InteraktivnĂ­ graf

position vs time
speed and acceleration