🇳🇴 🇬🇧 🇩🇪 🇨🇿 🇫🇮

Meteor Tjuvkilin yllä 2022-03-08 01:37:56 UTC

KML-tiedosto  |  Interaktiivinen kartta

Kartta näyttää meteorin suuntahavainnot. Vaaleammat viivat näyttävät suunnat havaintoasemilta meteorin ilmestyessä, ja tummemmat viivat näyttävät, missä se viimeksi nähtiin. Sininen nuoli näyttää meteorin näkyvän lennon.

static map
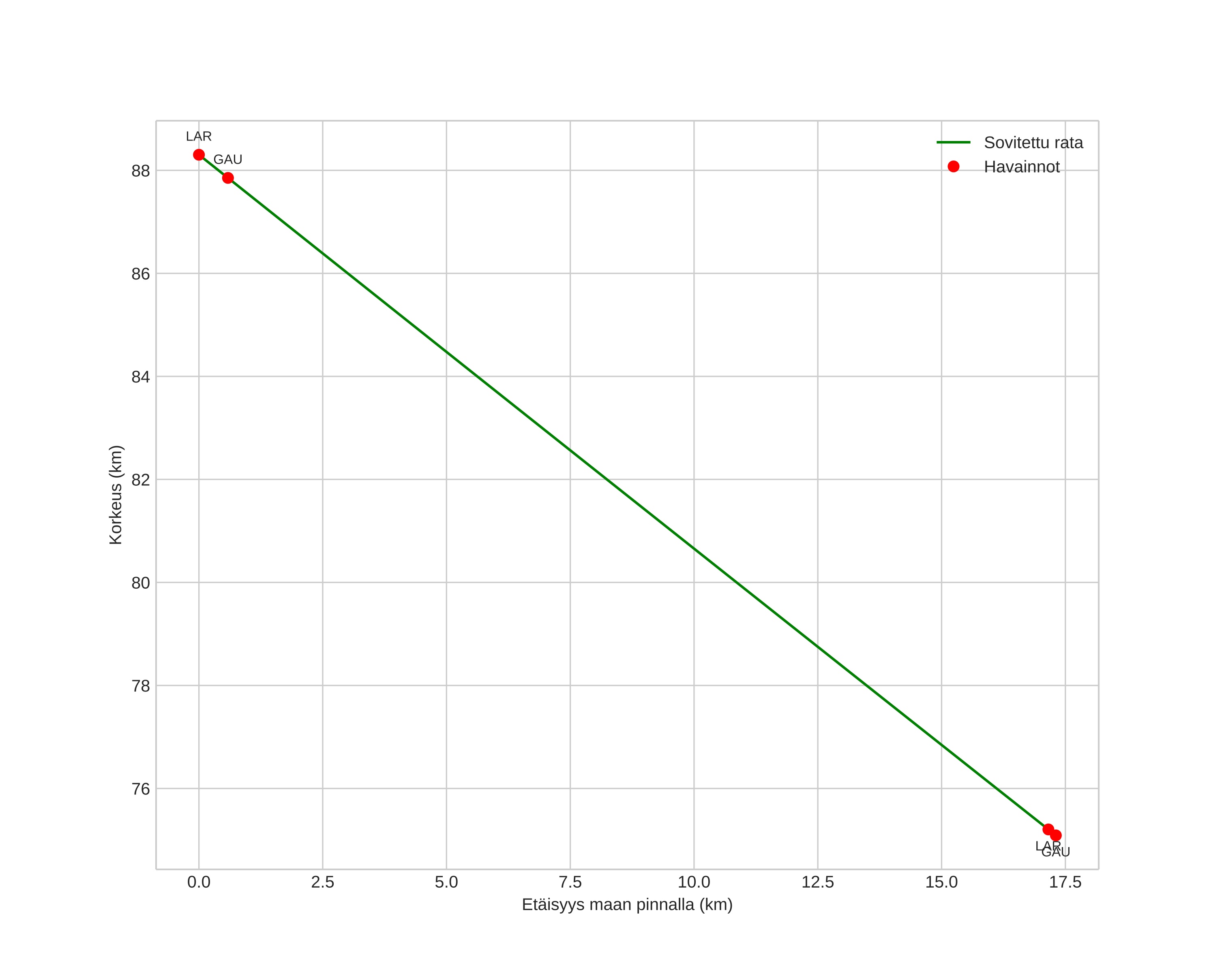
height profile
Meteorin ilmakehärata:
Alkukorkeus: 88,4 km
Loppukorkeus: 75,2 km
Alkupiste: 58,032N 11,738E
Loppupiste: 57,877N 11,776E
Suunta: 172,5°
Kallistuskulma: 37,3°
Tulonopeus: 18,9 km/s
Radiantin R,A,: 02:29 (37,3°)
Radiantin Dekl,: 62,6°
Meteoriparvi: Sporadinen
Meteoroidin rataelementit:
Perihelietäisyys: 0,984 AU
Eksentrisyys: 0,969
Inklinaatio: 14,9°
Nousevan solmun pituus: 347,2°
Perihelin argumentti: 169,3°
Keskianomalia: 0,0°
Epookki: 2022 MAR 08 01:37:56
orbit plot

Ei-interaktiivinen kuvaaja | Interaktiivinen kuvaaja

position vs time
speed and acceleration