🇳🇴 🇬🇧 🇩🇪 🇨🇿 🇫🇮

Meteor, poloha: Husøya 2022-03-08 20:24:59 UTC

Soubor KML  |  InteraktivnĂ­ mapa

Mapa zobrazuje dráhy meteoru. Světlejší čáry ukazují směry od pozorovacích stanic při objevení se meteoru a tmavší čáry, kde byl naposledy viděn. Modrá šipka značí viditelnou dráhu meteoru.

static map
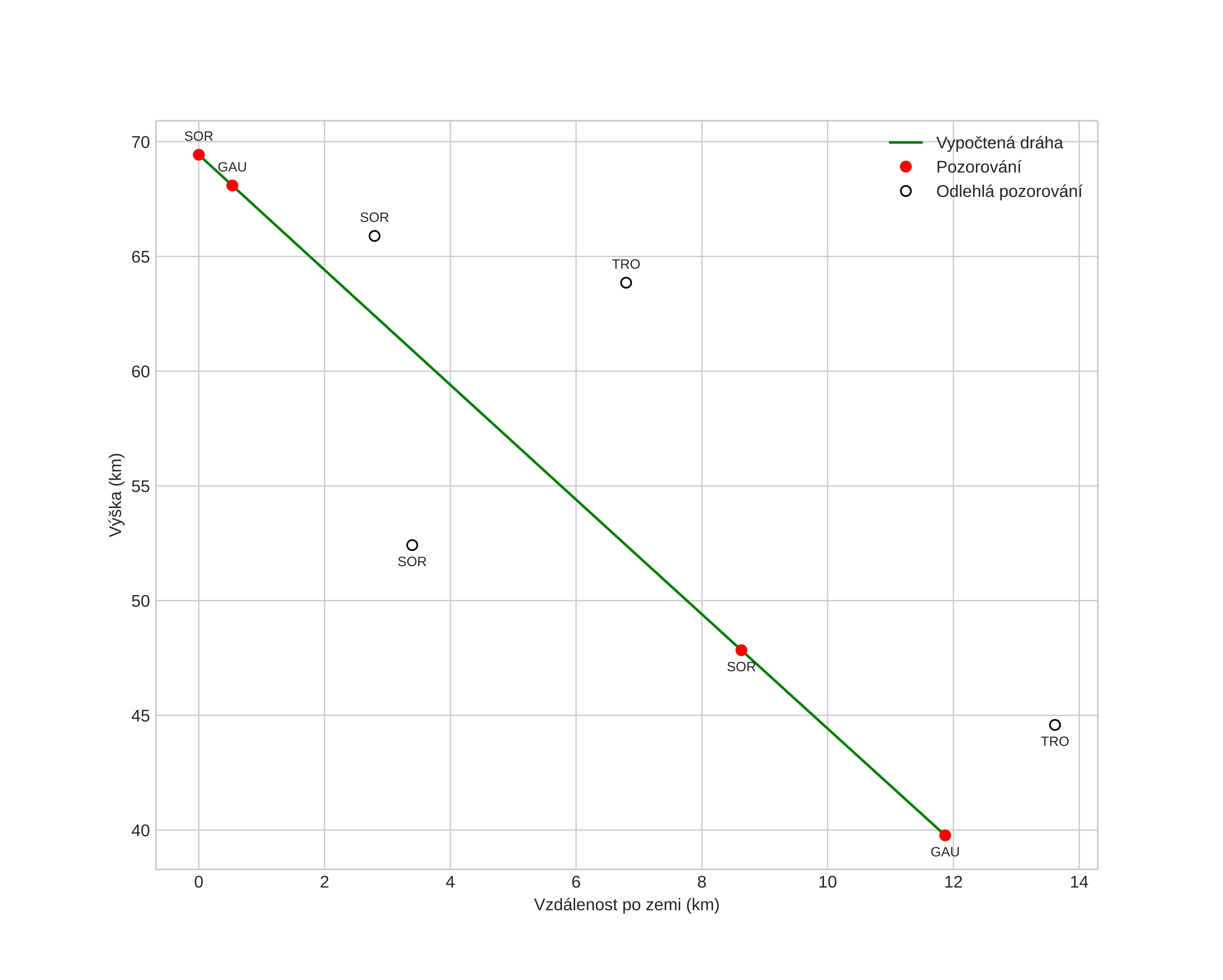
height profile
Atmosférická dráha meteoru:
Počáteční výška: 70,0 km
Konečná výška: 43,8 km
Počáteční poloha: 66,505N 10,483E
Konečná poloha: 66,549N 10,290E
Směr: 299,5°
Sklon: 69,4°
VstupnĂ­ rychlost: 13,3 km/s
Rektascenze radiantu: 10:25 (156,4°)
Deklinace radiantu: 47,5°
MeteorickĂ˝ roj: sporadickĂ˝
Elementy dráhy meteoroidu:
Vzdálenost v periheliu: 0,947 AU
Excentricita: 0,288
Sklon dráhy: 7,1°
Délka vzestupného uzlu: 347,9°
Argument perihelia: 217,5°
Střední anomálie: 339,5°
Epocha: 2022 MAR 08 20:24:59
orbit plot

NeinteraktivnĂ­ graf | InteraktivnĂ­ graf

position vs time
speed and acceleration

Gaustatoppen (GAU) cam2


gnomonic
Videa
• Gnomonická
• Gnomonická se souřadnicemi
• Původní
• Původní se souřadnicemi
Obrázky
• Gnomonická
• Gnomonická se souřadnicemi
• Gnomonická s popisky
• Původní
• Původní se souřadnicemi
• Původní s maskou
Textové soubory
• Detekce
• Pozorování
• Souřadnice
• Protokol
Jasnost