🇳🇴 🇬🇧 🇩🇪 🇨🇿 🇫🇮

Meteor Husøyan yllä 2022-03-08 20:24:59 UTC

KML-tiedosto  |  Interaktiivinen kartta

Kartta näyttää meteorin suuntahavainnot. Vaaleammat viivat näyttävät suunnat havaintoasemilta meteorin ilmestyessä, ja tummemmat viivat näyttävät, missä se viimeksi nähtiin. Sininen nuoli näyttää meteorin näkyvän lennon.

static map
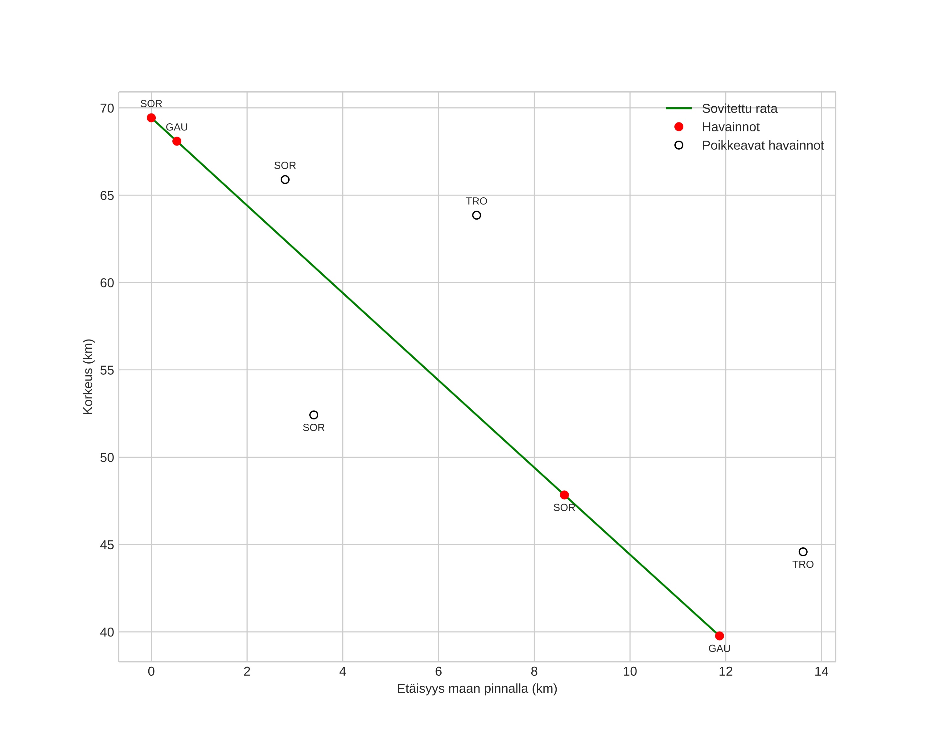
height profile
Meteorin ilmakehärata:
Alkukorkeus: 70,0 km
Loppukorkeus: 43,8 km
Alkupiste: 66,505N 10,483E
Loppupiste: 66,549N 10,290E
Suunta: 299,5°
Kallistuskulma: 69,4°
Tulonopeus: 13,3 km/s
Radiantin R,A,: 10:25 (156,4°)
Radiantin Dekl,: 47,5°
Meteoriparvi: Sporadinen
Meteoroidin rataelementit:
Perihelietäisyys: 0,947 AU
Eksentrisyys: 0,288
Inklinaatio: 7,1°
Nousevan solmun pituus: 347,9°
Perihelin argumentti: 217,5°
Keskianomalia: 339,5°
Epookki: 2022 MAR 08 20:24:59
orbit plot

Ei-interaktiivinen kuvaaja | Interaktiivinen kuvaaja

position vs time
speed and acceleration

Gaustatoppen (GAU) cam2


gnomonic
Videot:
• Gnomoninen
• Gnomoninen koordinaateilla
• Alkuperäinen
• Alkuperäinen koordinaateilla
Kuvat:
• Gnomoninen
• Gnomoninen koordinaateilla
• Gnomoninen merkinnöillä
• Alkuperäinen
• Alkuperäinen koordinaateilla
• Alkuperäinen maskilla
Tekstitiedostot:
• Havaintoraportti
• Observaatio
• Koordinaatit
• Loki
Kirkkaus