🇳🇴 🇬🇧 🇩🇪 🇨🇿 🇫🇮

Meteor, poloha: Hatteng 2022-03-08 20:31:35 UTC

Soubor KML  |  InteraktivnĂ­ mapa

Mapa zobrazuje dráhy meteoru. Světlejší čáry ukazují směry od pozorovacích stanic při objevení se meteoru a tmavší čáry, kde byl naposledy viděn. Modrá šipka značí viditelnou dráhu meteoru.

static map
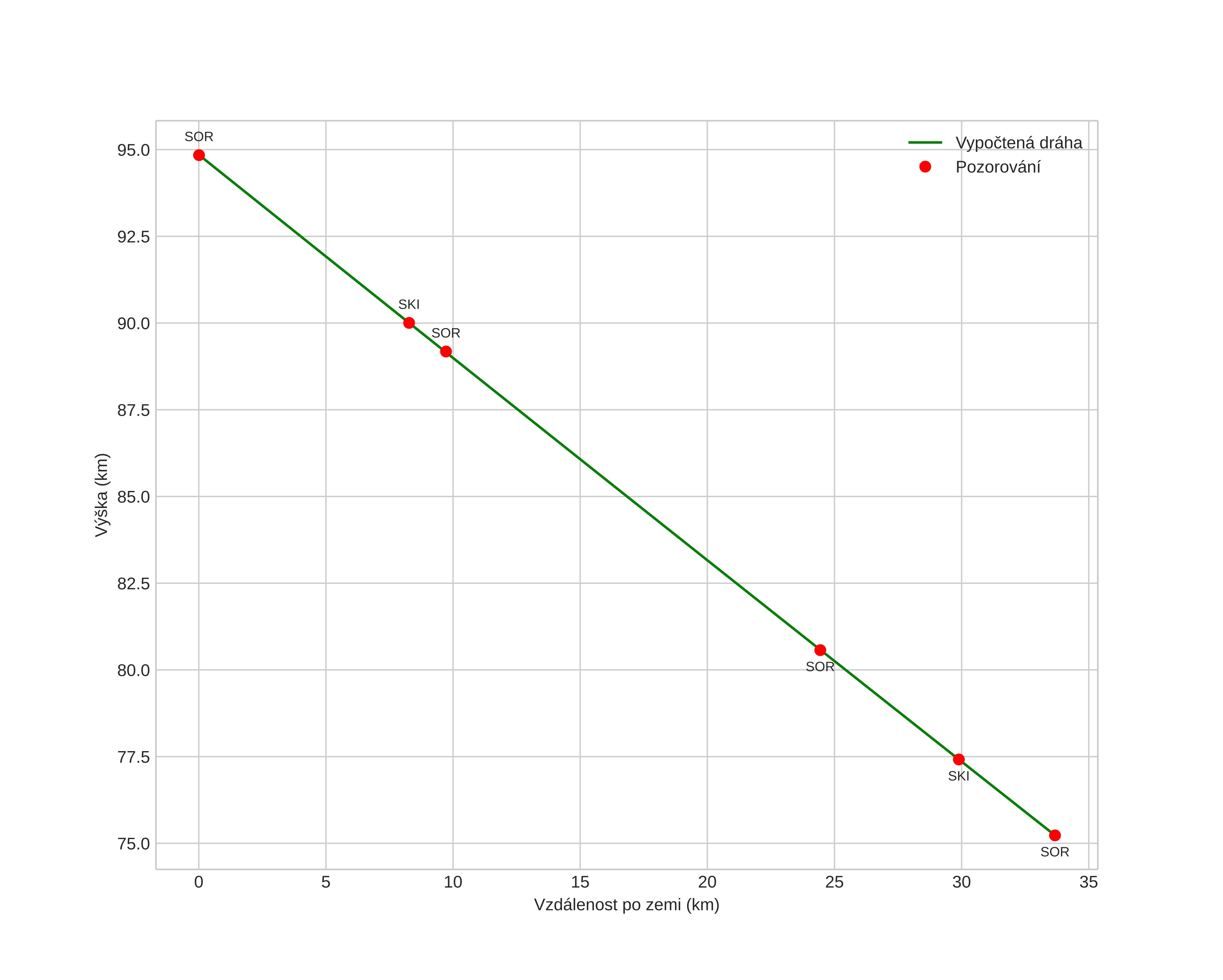
height profile
Atmosférická dráha meteoru:
Počáteční výška: 95,1 km
Konečná výška: 75,3 km
Počáteční poloha: 69,220N 20,557E
Konečná poloha: 69,449N 19,993E
Směr: 319,3°
Sklon: 30,4°
VstupnĂ­ rychlost: 27,4 km/s
Rektascenze radiantu: 11:21 (170,4°)
Deklinace radiantu: 11,3°
MeteorickĂ˝ roj: sporadickĂ˝
Elementy dráhy meteoroidu:
Vzdálenost v periheliu: 0,568 AU
Excentricita: 0,838
Sklon dráhy: 5,3°
Délka vzestupného uzlu: 347,9°
Argument perihelia: 266,5°
Střední anomálie: 353,6°
Epocha: 2022 MAR 08 20:31:35
orbit plot

NeinteraktivnĂ­ graf | InteraktivnĂ­ graf

position vs time
speed and acceleration