🇳🇴 🇬🇧 🇩🇪 🇨🇿 🇫🇮

Meteor Hattengin yllä 2022-03-08 20:31:35 UTC

KML-tiedosto  |  Interaktiivinen kartta

Kartta näyttää meteorin suuntahavainnot. Vaaleammat viivat näyttävät suunnat havaintoasemilta meteorin ilmestyessä, ja tummemmat viivat näyttävät, missä se viimeksi nähtiin. Sininen nuoli näyttää meteorin näkyvän lennon.

static map
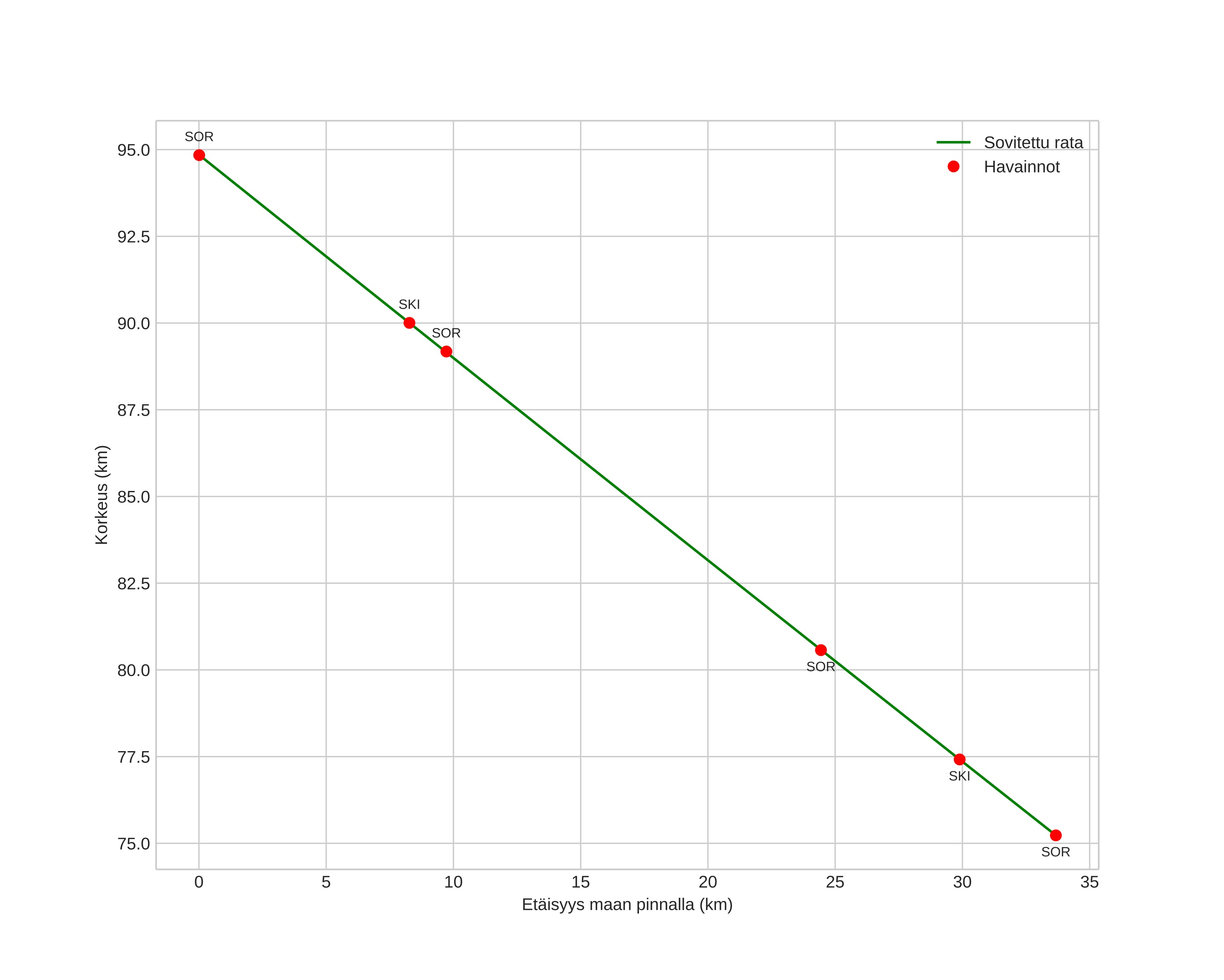
height profile
Meteorin ilmakehärata:
Alkukorkeus: 95,1 km
Loppukorkeus: 75,3 km
Alkupiste: 69,220N 20,557E
Loppupiste: 69,449N 19,993E
Suunta: 319,3°
Kallistuskulma: 30,4°
Tulonopeus: 27,4 km/s
Radiantin R,A,: 11:21 (170,4°)
Radiantin Dekl,: 11,3°
Meteoriparvi: Sporadinen
Meteoroidin rataelementit:
Perihelietäisyys: 0,568 AU
Eksentrisyys: 0,838
Inklinaatio: 5,3°
Nousevan solmun pituus: 347,9°
Perihelin argumentti: 266,5°
Keskianomalia: 353,6°
Epookki: 2022 MAR 08 20:31:35
orbit plot

Ei-interaktiivinen kuvaaja | Interaktiivinen kuvaaja

position vs time
speed and acceleration