🇳🇴 🇬🇧 🇩🇪 🇨🇿 🇫🇮

Meteor, poloha: Drammen 2022-03-11 18:28:17 UTC

Soubor KML  |  InteraktivnĂ­ mapa

Mapa zobrazuje dráhy meteoru. Světlejší čáry ukazují směry od pozorovacích stanic při objevení se meteoru a tmavší čáry, kde byl naposledy viděn. Modrá šipka značí viditelnou dráhu meteoru.

static map
height profile
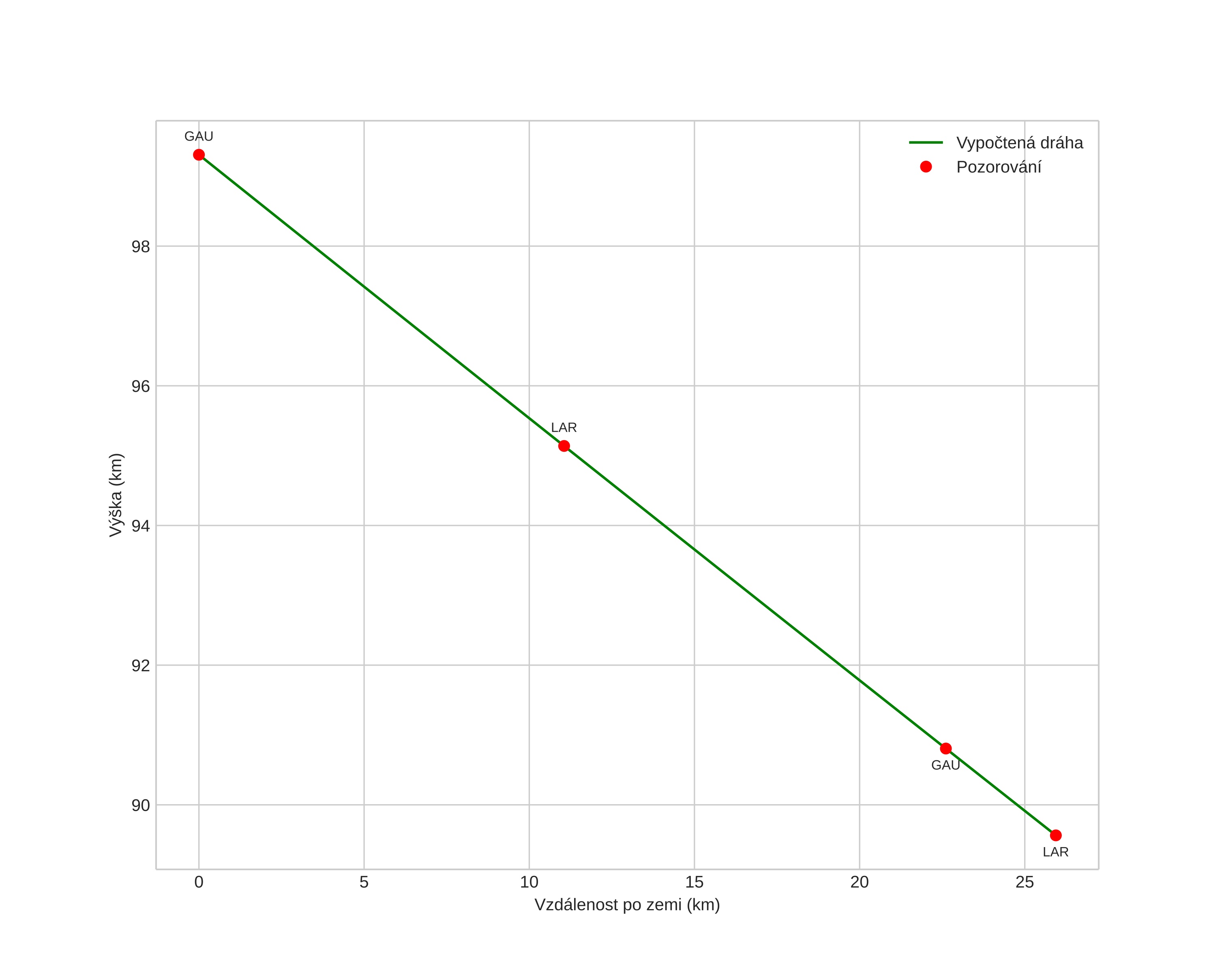
Atmosférická dráha meteoru:
Počáteční výška: 99,2 km
Konečná výška: 89,8 km
Počáteční poloha: 59,675N 10,621E
Konečná poloha: 59,747N 10,183E
Směr: 288,2°
Sklon: 20,0°
VstupnĂ­ rychlost: 24,1 km/s
Rektascenze radiantu: 10:53 (163,3°)
Deklinace radiantu: 4,4°
MeteorickĂ˝ roj: sporadickĂ˝
Elementy dráhy meteoroidu:
Vzdálenost v periheliu: 0,676 AU
Excentricita: 0,784
Sklon dráhy: 1,6°
Délka vzestupného uzlu: 170,9°
Argument perihelia: 74,2°
Střední anomálie: 352,6°
Epocha: 2022 MAR 11 18:28:17
orbit plot

NeinteraktivnĂ­ graf | InteraktivnĂ­ graf

position vs time
speed and acceleration

Gaustatoppen (GAU) cam3


gnomonic
Videa
• Gnomonická
• Gnomonická se souřadnicemi
• Původní
• Původní se souřadnicemi
Obrázky
• Gnomonická
• Gnomonická se souřadnicemi
• Gnomonická s popisky
• Původní
• Původní se souřadnicemi
Textové soubory
• Detekce
• Pozorování
• Souřadnice
• Chybová hlášení
• Protokol
Jasnost