🇳🇴 🇬🇧 🇩🇪 🇨🇿 🇫🇮

Meteor Drammenin yllä 2022-03-11 18:28:17 UTC

KML-tiedosto  |  Interaktiivinen kartta

Kartta näyttää meteorin suuntahavainnot. Vaaleammat viivat näyttävät suunnat havaintoasemilta meteorin ilmestyessä, ja tummemmat viivat näyttävät, missä se viimeksi nähtiin. Sininen nuoli näyttää meteorin näkyvän lennon.

static map
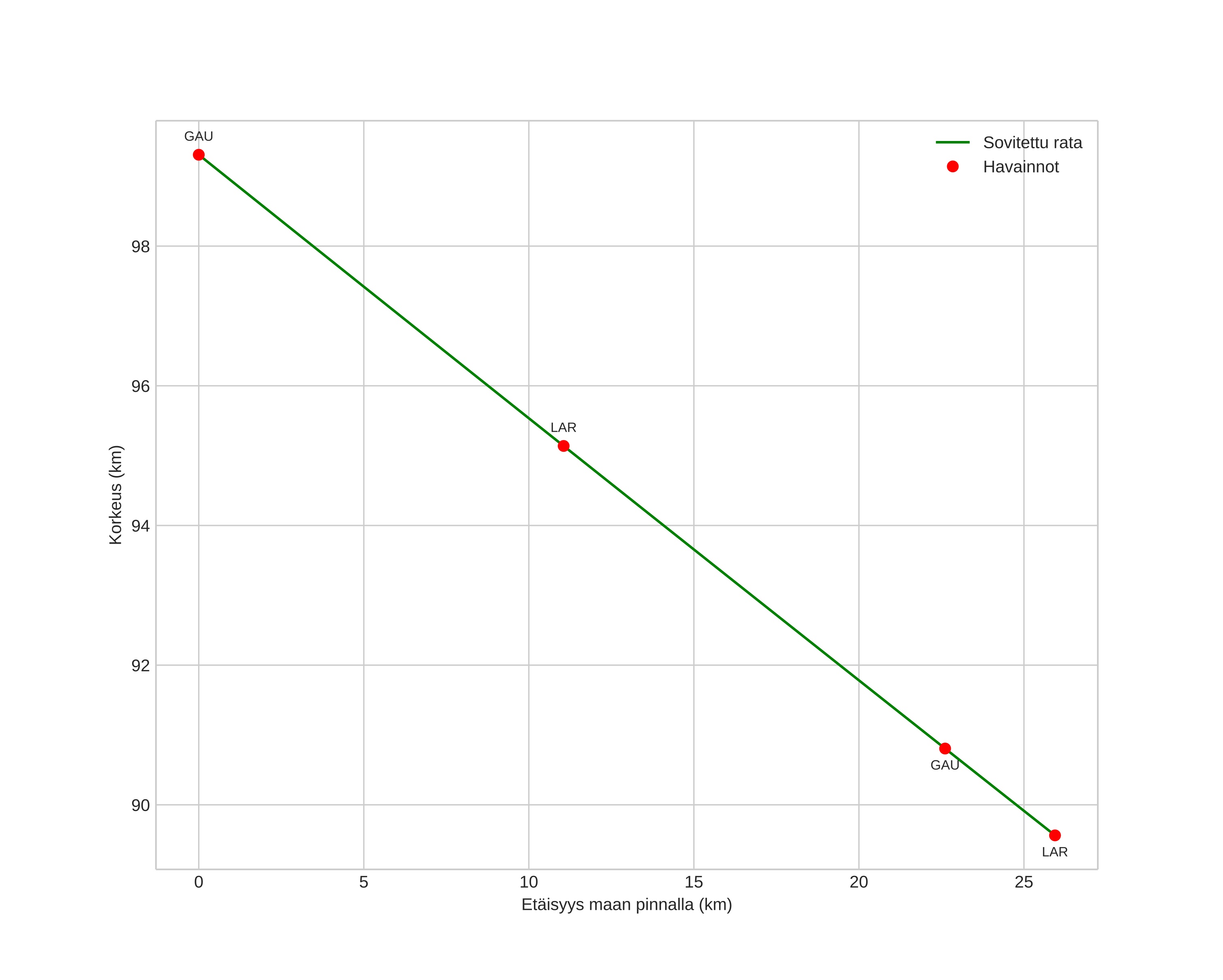
height profile
Meteorin ilmakehärata:
Alkukorkeus: 99,2 km
Loppukorkeus: 89,8 km
Alkupiste: 59,675N 10,621E
Loppupiste: 59,747N 10,183E
Suunta: 288,2°
Kallistuskulma: 20,0°
Tulonopeus: 24,1 km/s
Radiantin R,A,: 10:53 (163,3°)
Radiantin Dekl,: 4,4°
Meteoriparvi: Sporadinen
Meteoroidin rataelementit:
Perihelietäisyys: 0,676 AU
Eksentrisyys: 0,784
Inklinaatio: 1,6°
Nousevan solmun pituus: 170,9°
Perihelin argumentti: 74,2°
Keskianomalia: 352,6°
Epookki: 2022 MAR 11 18:28:17
orbit plot

Ei-interaktiivinen kuvaaja | Interaktiivinen kuvaaja

position vs time
speed and acceleration

Gaustatoppen (GAU) cam3


gnomonic
Videot:
• Gnomoninen
• Gnomoninen koordinaateilla
• Alkuperäinen
• Alkuperäinen koordinaateilla
Kuvat:
• Gnomoninen
• Gnomoninen koordinaateilla
• Gnomoninen merkinnöillä
• Alkuperäinen
• Alkuperäinen koordinaateilla
Tekstitiedostot:
• Havaintoraportti
• Observaatio
• Koordinaatit
• Virheilmoitukset
• Loki
Kirkkaus